
Heejun Suk1ㆍJize Piao1ㆍHongil Ahn2ㆍMinjune Yang3ㆍWeon Shik Han4*
1Korea Institute of Geoscience and Mineral Resources, Daejeon 34132, Republic of Korea
2Global Cooperation Center, Universal Environment Policy Institute, Heungandaero 427 gil, Anyang 14059, Republic of Koea
3Department of Earth and Environmental Sciences, Pukyong National University, 45 Yongso-ro, Nam-gu,
Busan 48513, South Korea
4Yonsei University, Departiment of Earth System Science, 50, Yonsei-ro, Seodaemun-gu, Seoul 03722, Republic of Korea
석희준1ㆍ박길택1ㆍ안홍일2ㆍ양민준3ㆍ한원식4*
1한국지질자원연구원
2국제환경정책연구원
3부경대학교
4연세대학교
This article is an open access article distributed under the terms of the Creative Commons Attribution Non-Commercial License (http://creativecommons.org/licenses/by-nc/4.0) which permits unrestricted non-commercial use, distribution, and reproduction in any medium, provided the original work is properly cited.
Repeated tracer tests are often conducted to improve the accuracy of parameter estimation or are sometimes inevitably performed due to mechanical issues or human errors occurred during initial tracer tests. However, residual concentrations from preceding tracer tests can interfere with the injection concentrations of subsequent tests, potentially compromising accuracy of parameter estimation in those later tests. Additionally, repeated injections and interruptions can create transient flow conditions, which have not been adequately considered to date. In this study, a new analytical solution was developed to generate a type curve for repeated tracer tests under transient flow conditions. The solution was validated through numerical simulations. By using the proposed analytical solution, the residual concentration from preceding tracer tests can be effectively accounted for, enabling more accurate parameter estimation for subsequent tracer tests under transient flow conditions.
Keywords: Repeated tracer tests, Transient flow conditions, Parameter estimation, Analytical solution, Type curves
지하수 내 추적자 시험은 공극률, 분산도, 반응률, 지연 계수 등의 오염물 거동 및 반응 관련 매개 변수 추정을 위해 광범위하게 사용되어 왔다(Chen and Wang, 2021; Chen et al., 2007; Gutierrez et al., 2011; Li et al., 2019, 2020; Moench, 1989; Sauty et al., 1992; Shi et al., 2020, 2023; Suk et al., 2022; Toride et al., 1995; Wang et al., 2020, 2023; Welty and Gelhar, 1994). 그 중에서도 발산 추적자 시험은 널리 사용되는 방법 중 하나로, 이 방법에서는 추적자가 주입 관정에 연속적으로 또는 순간적으로 주입되고 근처 관측 관정에서 농도 격변곡선을 측정한다(Field et al., 1999; Istok et al., 1999; Morales et al., 2017; Pickens et al., 1981). 이렇게 측정된 농도 격변곡선은 발산 추적자 시험의 다양한 수학적 모델을 이용하여 오염물 거동 및 반응 관련 매개변수를 추정하는데 사용되어 왔다(Chen, 1987; Chen et al., 2012; Hsieh and Yeh, 2014; Severino et al., 2012; Shi et al., 2023; Suk et al., 2022; Wang et al., 2023; Zhang et al., 2023).
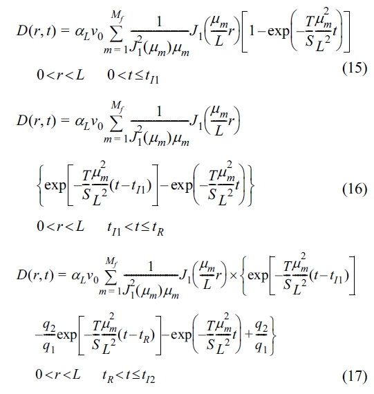
추적자 시험의 정확성이 중요한 경우, 신뢰성 있는 농도 격변곡선을 얻기 위해, 여러 번 반복적인 추적자 시험이 종종 수행된다. 각 추적자 시험 전에 잔류농도를 보정하기 위해 추적자 농도를 측정하여, 선행 시험의 잔류농도가 미치는 잠재적 영향을 줄이려는 노력이 이루어졌다(Doughty and Tsang, 2009; Field, 2011; Lee et al., 2007; Reimus and Arnold, 2017). 보통은 잔류농도의 영향을 보정하기 위하여 두 번째 추적자를 주입하기 전에 여러 배경 농도를 측정한다. 이러한 배경 농도의 산술 평균을 계산한 다음, 이를 두 번째 추적자 시험의 농도 격변곡선에서 빼서 보정 후 매개변수 추정에 사용한다. 그러나, 이 방법은 산술 평균한 배경 농도 값을 일괄적으로 빼기 때문에, 배경잔류농도가 시간에 따라 변하면, 잘못된 보정으로 인해 측정된 농도 격변곡선이 왜곡될 수 있다.
또한 첫 번째 추적자 시험에서 예기치 못한 전력 공급 문제, 배터리 문제, 인위적인 오류 또는 기타 복잡한 문제로 인해 시험이 실패할 경우, 후속 추적자 시험을 다시 수행해야 하는 경우가 있다. 이때 첫 번째 추적자 시험 후 불가피하게 휴식 기간이 발생하며, 이런 경우에 이전 추적자 시험에서 주입된 추적자가 잔류농도로 관측되어 후속 추적자 시험 시 농도 격변곡선 관측에 영향을 미칠 수 있다. 따라서 간섭을 최소화하기 위해 잔류농도가 무시할 만큼 작아질 때까지 오랜 시간을 기다려야 한다. 이는 하루에서 며칠까지 걸릴 수 있어 비효율적이다.
그 밖에도, 첫 번째 추적자 시험 종료 후, 두 번째 추적자 시험이 실시되기까지, 첫 번째 주입, 주입 중단, 다시 두 번째 주입으로 인해 지하수위 흐름은 부정류 흐름을 일으킬 수 있는데, 기존 관행은 이에 대한 효과는 간과되고, 정류 흐름에 기반한 해석해(Chen, 1987; Chen and Wang, 2021; Chen et al., 2007; Shi et al., 2020, 2023; Wang et al., 2020, 2023)를 이용하여, 매개변수를 추정하여 왔다.
최근 Suk et al. (2022)은 부정류 흐름을 고려한 단일 추적자 시험에 대한 표준 곡선을 제안하였다. 그러나 반복 추적자 시험으로 인한 배경 잔류농도를 고려할 뿐만 아니라, 반복된 주입 및 중단으로 인한 부정류 흐름 효과를 함께 고려한 해석해는 아직 개발된 적이 없다.
따라서, 본 연구의 목적은 첫 번째 반복적인 추적자 시험에서 부정류 흐름과 배경잔류농도 효과를 동시에 고려할 수 있는 수학적인 표준곡선을 유도하는 것이다. 즉, 반복 추적자 시험에서 매개변수 추정을 위한 새로운 해석해를 개발하는 것이다. 두 번째 목적은 부정류 흐름 하에서 반복적인 추적자 시험 중, 두 번째 추적자 시험으로부터 얻은 농도 격변곡선을 기존에 널리 사용하였던 방식으로 정류 흐름 하에서 단일 추적자 시험에 대한 해석해(Chen, 1987)를 이용하여 매개변수를 추정하는 경우에 발생할 수 있는 추정오차를 분석하는 것이다. 마지막으로 개발된 해석해를 이용해서, 기존에 종종 사용하였던 배경잔류농도 보정에 의한 매개변수 추정의 문제점을 파악하고자 하였다.
2.1. 지하수 흐름 방정식
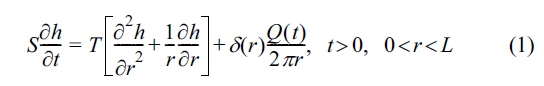
반복적인 발산 추적자 시험 동안, 부정류 흐름 하에서 추적자 거동을 설명하기 위해 방사형 이송-확산-반응 방정식을 해결하려면, 먼저 균질하고 등방성을 가진 대수층에서 주입정으로부터의 부정류 흐름을 계산해야 한다. 지하수 흐름 방정식을 극좌표 형태로 표현하면 다음과 같다(Chan et al., 1976; Samani and Sedghi, 2015; Sedghi and Zhan, 2018; Suk et al., 2022; Yeh and Chang, 2006).

여기서 S 는 저류계수 [무차원], T 는 투수계수 [L2T-1], h는 지하수위 [L], t 는 시간 [T], r 은 주입정으로부터 거리 [L], L은 관심영역의 길이, δ(r)은 디락 델타 함수 [L-1], Q(t)는 주입량 [L3T-1]이며 다음과 같다.

여기서 q1과 q2는 반복 추적자 시험에서 각각 첫 번째 및 두 번째 주입량 [L3T-1]을 의미한다. 본 연구에서는 반복 발산 추적자 시험을 고려하여, 첫 번째 주입 후 주입을 중단한 휴식 기간이 있으며, 그 후 두 번째 주입이 이어진다. 여기서 tI1과 tI2 은 각각 첫 번째 주입 및 두 번째 주입 종료 시점 [T]을, tR 은 휴식 종료 시점 [T]을 나타낸다.
초기조건 및 경계조건은 각각 다음과 같다.

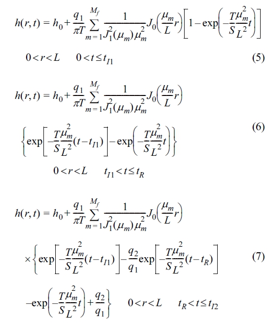
여기서 h0 는 초기 및 경계조건 값이다. 식 (1) 은 제차 Helmholtz 방정식에서 유도된 고유함수를 일반화된 푸리에 급수로 확장하여 계산한 것이며(Hayek, 2001; Suk et al., 2022), 이를 통해 시간 및 공간에 따른 지하수위가 도출되었다.

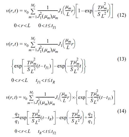
여기서 Mf 는 푸리에 급수에서 지하수위의 역변환을 위한 급수의 절단 값이며, Ji 는 i번째 차수의 1종 베셀함수, μm은 0차 1종 베셀함수가 m번째로 0이 되는 값이다. 이렇게 도출된 지하수위 (식 (5)~(7))을 바탕으로, Darcy 식을 적용하여, 시간 및 공간에 따른 지하수 흐름 속도를 계산하였다.
2.2.오염물 거동 방정식
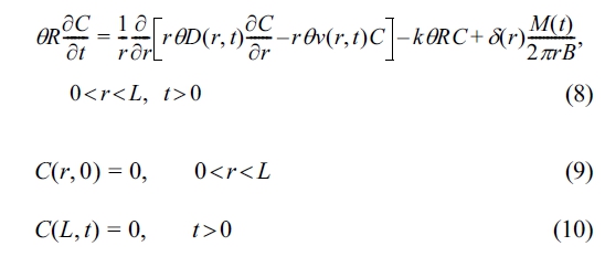
반복 추적자 시험에서 추적자 거동을 설명하기 위해, 이송-확산-반응 방정식은 다음과 같이 표현될 수 있다(Haddad et al., 2015; Suk et al., 2022).

여기서 C(r, t)은 추적자 농도 [ML-3], R은 지연계수 [무차원], v(r, t)는 공극 속도 [LT-1], D(r, t)는 확산계수 [L2T-1], k 는 일차 반응률 [T-1], θ 는 공극률 [무차원], B는 대수층의 두께 [L], M(t) 는 주입 질량률 [MT-1]이다.

여기서 C1과 C2는 반복 추적자 시험에서 각각 첫 번째 및 두 번째 주입농도 [ML-3]이다. 반복 추적자 시험에서 공극 속도는 지하수위(수식 (5)~(7))에 대해 다알식 공식을 적용하여 계산하였으며, 다음과 같다.

여기서
, 확산계수 D(r,t ) = αL|v(r,t )| 이며, 다음과 같다.

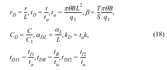
여기서 αL은 종분산지수 [L]를 의미한다. 식 (8)을 계산하기 위해, 다음과 같은 무차원 변수들을 이용하였다.

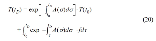
식 (8)은 GITT 기법(Almeida and Cotta, 1995; Cotta, 1993; Liu et al., 1998, 2000; Suk, 2013, 2016, 2017; Suk et al., 2022)을 사용하여 계산되었으며, 이를 통해 부정류 흐름을 고려하여 반복 추적자 시험 동안 시간과 공간에 따라 변화하는 속도 (식 (12)~(14)) 및 확산계수 (식 (15)~(17)) 하에서 추적자 농도를 계산하였다. GITT 기법을 이용한 해석해 결과는 다음과 같다.

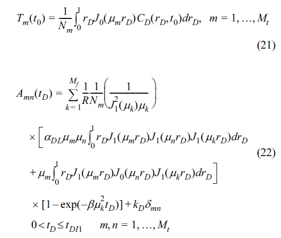
여기서 Mt 는 GITT 기법의 급수에서 추적자 농도의 역변환을 위한 급수의 절단 값이며, Tm(tD)는 GITT 기법에서 m 번째 변환 농도이며, 다음과 같이 계산된다.

여기서



여기서 T는 크기가 Mt × 1인 벡터이며, A는 크기가 Mt X Mt인 행렬이다.
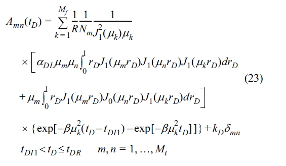
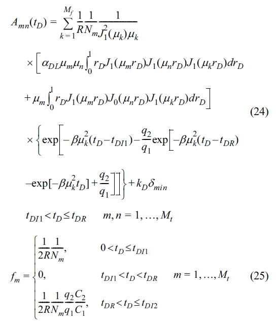
는 첫 번째 주입시에는 0, 휴식기간에는 tDI1, 두 번째 주입 시에는 tDR로, 각 단계의 초기시간에 해당된다. 식 (22)~(24)의 적분은 수치적분을 이용하여 계산하였으며, 매트랩 7에서 adaptive quadrature를 사용하는 함수 integral( )을 사용하여 수행되었다. 식 (20)에서 지수 행렬을 계산하기 위해 매트랩 7에서 내장함수 expm( )을 사용하였으며, 이는 Moler and van Loan (1978)이 보고한 방법 3과 유사하다. 식 (20) 우변 두 번째 항의 적분을 계산하기 위해서는, 재귀적 adaptive Simpson quadrature를 적용하는 함수 quadv( )를 사용하였다. 행렬 A에 대한 시간적분은 해석적으로 계산되었다. 이와 같은 방법으로, 식 (20)을 계산한 후, 계산된 Tm(tD)를 식 (19)에 대입함으로, 시간과 공간에 대한 추적자의 농도를 계산하였다.
반복적인 추적자 시험에서 이송-확산-반응의 추적자의 거동을 계산하기 전에, 추적자 이송 속도 계산에 사용되는 지하수위 변화를 먼저 검증하였다. 첫 번째 주입단계, 휴식단계, 두 번째 주입단계에서 시간에 따라 변하는 지하수위는 Theis solution을 중첩하여 얻은 결과와 비교 검증되었다(Kinzelbach, 1986). 지하수 흐름을 검증하기 위해 사용된 값들은 다음과 같다: S = 0.1, T= 0.5 m2/day, B = 10 m, θ = 0.1, h0 = 50 m, q1 = 5 m3/day, q2 = 8.5 m3/day, tI1 = 0.2일, tR = 0.6일, tI2 = 1일, L= 20 m. 반복적인 추적자 시험에서 첫 번째 주입기간, 휴식 기간, 그리고 두 번째 주입기간에 대한 일정이 Fig. 1에 제공되었다. 첫 번째 주입량은 5.0 m3/day로 0.2일 동안 유지되었으며, 휴식 기간(0.2~0.6일)에는 주입이 중단되었고, 두 번째 주입 기간 동안 주입량은 8.5 m3/day로 0.4일 동안 일정하게 주입되었다.
제안된 해석해 (식 (5)~(7))를 사용하여 계산된 지하수위 결과는 기존 해석해와 다양한 시간에서 비교되었다(Fig. 2). 균질하고 등방성인 피압 대수층에서 반복 추적자 시험에서 부정류 흐름을 고려하여 발산 방사 흐름 하에서 주입정을 중심으로 시간에 따른 지하수위 변화를 설명하였다.
첫 번째 주입 후(t = 0.01일) 주입정 주변의 지하수위는 초기 일정 수위인 50 m에서 급격히 증가한 후, 첫 번째 주입 종료 시점(t = 0.2일)까지 지속적으로 증가하여 첫 번째 주입량에 기반한 정류상태에 도달하였다. 그러나 휴식 기간 동안 주입 중단으로 인해, 주입정 주변의 지하수위는 급격히 감소하였고, 휴식 종료 시점(t = 0.6일)까지 계속 감소하여 초기 지하수위인 50 m에 거의 도달하였다. 두 번째 주입이 시작되었을 때, 주입정 주변의 지하수위는 다시 급격히 증가하였고, 두 번째 주입 종료 시점(t = 1.0일)까지 계속 증가하여 두 번째 주입량에 기반한 새로운 정류 상태에 도달하였다. Fig. 2는 반복 추적자 시험에서 첫 번째 주입 기간, 휴식 기간, 및 두 번째 주입 기간 동안의 지하수위 변화를 시간 경과에 따라 보여준다. Fig. 2에서 보는 바와 같이, 제안된 해석해는 Theis 해를 중첩한 해석해(Kinzelbach, 1986)와 잘 일치하였다. 여기서 Theis 해를 중첩한 해석해는 수학적으로 시간과 공간이 분리되지 않은 형태로 제공되기 때문에, 추적자 거동을 위한 이송 속도로 적용되기 어렵다. 하지만 제안된 해석해 (식 (5)~(7))는 수학적으로 시간과 공간이 분리된 형태로 표현되어, 추적자 거동을 위한 이송 속도로 적용될 수 있다.
이번에는 GITT 기법을 이용하여 새롭게 개발된 추적자 거동 해석해의 정확성을 검증하기 위해, 균질하고, 등방성인 피압 대수층에서 반복 발산 추적자 시험 동안 추적자 거동을 설명하는 검증 예제가 수행되었다. 제안된 해석해는 유한차분법 수치모델과 비교되었다. 현재까지 부정류 흐름 하에서 반복 발산 추적자 시험 동안 추적자의 거동을 설명하는 해석해는 존재하지 않았기 때문에, 수치해와의 비교를 통해 검증되었다. 검증을 위해 사용된 값들은 다음과 같다: R= 1, αL = 1.0 m, k= 0 day-1, C1 = 1.0 ppm, C2 = 1.5 ppm, robs = 1 m. 여기서 robs는 주입정으로부터 관측정까지의 거리를 의미한다. 수치모의를 위해 격자간격 크기는 1.0 × 10-7 ~ 0.05 m, 시간간격 크기는 1.0 × 10-8 ~ 0.006일로, 총 1000개의 격자와 3725개의 시간간격이 사용되었다. 페클릿 수는 1.0 × 10-7 ~ 0.05이다.
Fig. 3에서 보는 바와 같이, 반복 추적자 시험에서 첫 번째 주입 기간 동안 주입정 주변의 추적자 농도는 초기농도인 0에서부터 첫 번째 주입 종료시점(t = 0.2일)까지 시간이 지남에 따라 지속적으로 증가하였다. 첫 번째 주입농도는 1 ppm이다. 그러나 휴식 기간 동안 추적자의 주입이 중단되어 추적자의 농도는 휴식 기간 종료 시점(t = 0.6일)까지 감소하였다. 두 번째 주입 기간 동안, 주입정 주변의 추적자 농도는 휴식 종료 시점에서부터 두 번째 추적자 주입 종료 시점(t = 1일)까지 다시 증가하였다. 두 번째 추적자 주입농도는 1.5 ppm이다. Fig. 3에서 보는 바와 같이, 제안된 해석해 농도 결과는 모든 기간 동안 수치해의 결과와 잘 일치하는 것을 볼 수 있다.
여기서 중요한 점은 첫 번째 주입 기간 동안 추적자 농도가 초기농도인 0에서부터 증가하기 시작하지만, 두 번째 주입 기간 동안 추적자 농도는 0에서 시작하지 않고, 휴식 종료 시점(t = 0.6일)의 농도로부터 증가한다는 것이다. 즉, 두 번째 주입 시 휴식 종료 시점에서의 추적자 농도가 배경잔류농도로 작용하게 된다. 그러나 이와 같은 배경잔류농도를 고려할 수 있는 해석해는 지금까지 존재하지 않았다. 따라서 반복적인 추적자 시험을 실행하는 경우, 기존의 해석해들을 이용하여 표준 곡선(type curve)를 구현하는 과정에서 배경잔류농도를 고려할 수 없기 때문에, 현장에서는 배경잔류 추적자 농도가 무시할 수 있을 만큼 작아질 때까지 오랜 기간을 기다리거나, 배경 잔류농도를 산술 평균하여 두 번째 추적자 시험에서 획득한 농도 분포에서 이를 빼서 보정하는 방법을 사용하기도 하였다 (Doughty and Tsang, 2009; Field, 2011; Lee et al., 2007; Reimus and Arnold, 2017). 그러나 배경잔류농도가 무시할 수 있을 만큼 줄어들 때까지 기다리는 것은 매우 비효율적이며, 두 번째 추적자 시험에서 얻은 농도에 대해 배경잔류농도를 이용하여 보정하는 것은, 획득된 농도분포의 정확성을 떨어뜨릴 위험이 있다.
Fig. 4는 반복적인 추적자 시험이 수행된 경우, 관측점 robs에서의 농도 격변곡선을 나타내었다. 첫 번째 주입이 이루어진 0에서 0.2일 동안 주입으로 인해 농도가 지속적으로 증가하는 것을 볼 수 있다. 그러나 휴식 기간(0.2~0.6일)에는 농도가 감소하였다가, 두 번째 주척자 시험으로 인해, 농도가 다시 증가하는 것을 볼 수 있다. 여기서 주의할 점은 Fig. 4에서 보는 바와 같이, 두 번째 추적자 시험 시작 시점에서 관측정에서의 농도가 0이 아니라, ‘배경잔류농도’라는 점이다. 표준 곡선(type curve)는 초기 농도를 0으로 가정한 기존 해석해들로부터 구현되기 때문에, 현장에서는 배경잔류농도가 무시할 수 있을 만큼 작아질 때까지 오랜 기간을 기다리거나, 두 번째 추적자 시험으로부터 얻은 농도 격변곡선에서 배경잔류농도를 일괄적으로 빼서, 두 번째 시험의 초기 농도를 강제로 0으로 보정한 후, 표준곡선에 적합시키기도 한다. 그러나 배경잔류농도가 무시할 수 있을 만큼 작아질 때까지 기다리는 것은 매우 비효율적이며, 배경잔류농도를 이용하여, 농도 격변곡선을 보정하는 것은 획득된 농도 격변곡선의 정확성을 떨어뜨릴 위험이 있다. 따라서 본 연구에서는 추적자 시험 이전에 진행된 선행 추적자 시험으로 인한 배경잔류농도를 고려할 수 있는 새로운 해석해를 개발하였다. 개발된 해석해를 이용하면, 배경잔류농도가 0이 될 때까지 오랜 시간을 기다릴 필요가 없고, 배경잔류농도를 이용하여 보정하므로 획득된 농도 격변곡선의 정확성을 떨어뜨릴 위험도 없이, 안전하고 정확하게 반복적인 추적자 시험을 진행할 수 있으며, 반복 추적자 시험을 통해 획득된 농도 격변곡선을, 개발된 해석해로부터 구현된 표준곡선에 직접 적합하여 적용할 수 있다. 즉, 본 연구의 목적은 반복적인 추적자 시험 해석을 위한 새로운 표준곡선을 제공함으로, 매개 변수 추정의 정확성을 높이는 것이다.
|
Fig. 1 The first injection period, rest period, and the second injection period in a transient divergent radial flow during repeated tracer tests. The first and second injection rates were 5.0 m3 /day and 8.5 m3 /day, respectively. The end times of the first injection, rest, and the second injection phases were 0.2, 0.6, and 1.0 days, respectively. |
|
Fig. 2 Comparison of spatial head distributions obtained from the proposed analytical solution, and the analytical solution based on superposition (Kinzelbach, 1986) during the first injection period (“1st inj”), rest period (“res”), and the second injection period (“2nd inj”). |
|
Fig. 3 Comparison of the spatial concentration distribution between the proposed semi-analytical solution and the numerical solution during the first injection period (“1st inj”), rest period (“res”), and the second injection period (“2nd inj”). |
|
Fig. 4 Comparison of the breakthrough curve of the proposed semi-analytical solution with that of the numerical solution at the observation well. The breakthrough curve is shown for the first injection period, the rest period, and the second injection period. The concentration at the observation well at the start of the second tracer test is not zero, but is the background residual concentration. |
기존 연구들에서는 부정류 흐름 하에서 수행된 반복적인 추적자 시험에 대한 매개 변수 추정을 위해, 정류 흐름 하에서 단일 추적자 시험에서 사용 가능한 기존 해석해를 이용하여 매개변수 추정을 수행하였다. 이때 반복적인 추적자 시험에서 선행 추적자 시험의 간섭은 무시할 수 있을 정도로 작다고 가정하거나, 후행 추적자 시험의 농도 격변곡선에서 배경잔류농도를 뺀 후, 보정된 농도 격변곡선을 이용하여, 매개변수를 추정하여 왔다(Doughty and Tsang, 2009; Field, 2011; Lee et al., 2007; Reimus and Arnold, 2017). 그뿐만 아니라 이전 연구들에서는 부정류 흐름을 무시하고, 정류 흐름 상태라고 가정하여 추적자 분석을 수행하였다. 그러나 반복적인 추적자 시험에서는 Fig. 1에서 보는 바와 같이, 주입량이 바뀌는 시점, 즉, 주입이 시작되는 시점, 중단되는 시점, 다시 시작되는 시점에서 지하수 흐름은 불가피하게 부정류 흐름이 된다(Fig. 2). 최근 Suk et al. (2022)에서는 부정류 흐름의 크기를 정의할 수 있는 매개변수 β 를 정의한 후, 부정류 흐름 해석해와 정류 흐름 해석해의 유사성이 β 의 임계값에 전적으로 의존함을 보였다.

Suk et al. (2022)는 단일 추적자 시험에서 부정류 흐름이 추적자 거동에 미치는 영향을 평가하여, β 의 임계값은 6-15로 정의하고, β 가 임계값보다 큰 경우에는 부정류 흐름이 정류 흐름에 가까워지고, β 가 임계값보다 작은 경우에는 부정류 흐름 특성이 강하게 나타남을 보였다. 따라서 β 가 임계값보다 큰 경우에 수행된 단일 추적자 시험에서는 정류 흐름을 고려한 해석해를 사용해도 비교적 정확한 표준 곡선을 제시할 수 있으나, β 가 임계값보다 작은 경우에 수행된 추적자 시험에서는 반드시 부정류 흐름을 고려한 해석해를 사용해야 정확한 표준 곡선을 제시할 수 있다고 보고한 적이 있다.
본 연구에서는 부정류 흐름 하에서 반복적인 추적자 시험의 두 번째 추적자 시험으로부터 얻은 농도 격변곡선에 대해서 부정류 및 배경잔류농도의 효과가 기존 해석해 (Chen, 1987)를 이용하여 추정 시, 매개변수의 정확성에 미치는 영향을 평가하기 위하여, β 에 따라서 배경잔류농도를 제거하여 보정한 경우와 보정하지 않은 경우에 대해서 매개변수 추정 오차를 분석하였다(Table 1). 이때 입력자료는 검증에서의 입력자료와 같다.
매개변수 추정 오차를 위한 절차는 다음과 같다: 1) 우선, 주어진 입력자료에 근거한 다양한 부정류 흐름 하에서 수행된 두 번째 추적자 시험으로부터 농도 격변곡선을 새로운 제안된 해석해를 이용하여 얻는다. 여기서 얻어진 농도 격변곡선은 실제 관측 농도 격변곡선이라고 가정하고, 이때 입력된 종분산지수를 실제 대수층의 용질 거동 특성값이라고 가정하였다. 이렇게 얻은 관측된 농도 격변곡선에 대해서 배경잔류농도의 효과를 보정하기 위해 배경잔류농도를 뺀 것과, 배경잔류농도를 보정하지 않은 상태로 각각 관측된 농도 격변곡선들을 구한다. 2) 기존 연구에서 널리 사용되었던 단일 추적자 시험을 위한 정류 흐름 상태의 해석해(Chen, 1987)를 이용하여, 다양한 종분산지수에 대한 표준곡선들을 생성한다. 3) 배경잔류농도를 보정한것과 그렇지 않은 경우의 관측 농도 격변곡선들과 위의 절차로부터 기존의 해석해를 통해서 얻어진 다양한 표준곡선 중에서 최적의 적합을 갖는 표준곡선을 생성하는 종분산지수를 추정 값으로 한다. 이 절차를 위해서 시각적으로 직접적인 커브 매칭 기법을 사용하여 매개변수를 추정할 수 있다. 그러나, 본 연구에서는 빠르고 안정적인 수렴을 위해 Levenberg-Marquardt 방법(Nocedal and Wright, 2006)과 같은 수치적 방법을 사용하여 매개변수를 추정하였다(Table 1). Levenberg-Marquardt 방법은 경사 하강법과 가우스-뉴턴 방법의 장점을 결합하여 빠르고 안정적인 수렴을 제공해 주는 장점이 있다. 여기서 다양한 부정류 흐름 상태는 β 의 값을 1.57, 3.14, 31.4, 314로 바꿔가면서 구현하였다(Table 1).
그림 5~8에는 다양한 부정류 흐름 상태 하에서 배경잔류농도를 제거하지 않은 경우와 제거하여 보정한 경우에 대한 커브 매칭 기법의 결과를 도시하였다. β = 1.57인 경우, 즉, 지하수 흐름에서 부정류 흐름 특성이 강하게 나타날 때, Fig. 5(a)에서 보는 바와 같이 배경잔류농도를 보정하지 않은 경우 기존 해석해의 추정 종분산지수는 0.49 m (추정오차는 51.02%)로, 실제 종분산지수인 1 m와 상당히 차이가 있음을 알 수 있다. 그러나 Fig. 5(b)에서 보는 바와 같이 배경잔류농도를 제거하여 보정한 경우, 추정 종분산지수는 0.83 m(추정오차는 16.79%)로, 보정된 농도 격변곡선의 추정오차가 더 낮은 것을 볼 수 있다. 한편 β = 3.14인 여전히 부정류 흐름 특성이 강하게 나타나는 경우에 Fig. 6(a)에서 보는 바와 같이 배경잔류농도를 비 보정하는 경우에 추정 종분산지수는 0.67 m(추정오차는 33.11%)로, β = 1.57에 비해서 줄어들었지만 실제 종분산지수인 1 m와 차이가 여전히 크다. 마찬가지로, 배경잔류농도를 제거하여 보정한 경우에, Fig. 6(b)에서 보는 바와 같이 추정 종분산지수는 1.07 m(추정오차는 7.01%)로, β = 1.57에 비해서 줄어진 것을 볼 수 있다. 또한 배경잔류농도를 제거하여 보정한 경우에, 보정하지 않은 경우보다 추정오차가 더 낮은 것을 볼 수 있다. 마찬가지로 지하수 흐름이 정류상태에 가까운 β = 31.4 경우에, 배경잔류농도를 보정하지 않을 때 Fig. 7(a)에서 보는 바와 같이 추정 종분산지수는 0.89 m(추정오차는 11.0%)로, β = 3.14인 경우에 비해 추정오차가 줄어드는 것을 볼 수 있다. 하지만, 배경잔류농도를 제거하여 보정한 경우에는 Fig. 7(b)에서 보는 바와 같이 추정 종분산지수는 1.33 m(추정오차는 32.99%)로서 이전과는 달리, b = 3.14인 경우에 비해 추정오차가 줄어들지 않고, 오히려 증가하였다. 그뿐만 아니라, 배경잔류농도를 제거하여 보정한 경우에, 보정하지 않은 경우보다 추정오차가 오히려 높아진 것을 알 수 있다. 이는 예상과는 다른 결과이고, 이러한 양상은 β 가 314일 때도 그림 8에서 나타났다. 즉 β 가 증가함에 따라 배경잔류농도를 제거하여 보정한 경우에, 추정오차가 증가하였을 뿐 아니라, 배경잔류농도를 제거하여 보정한 경우에, 보정하지 않은 경우보다 추정오차가 오히려 높게 나타났다. 이렇게 β 가 증가함에 따라 배경잔류농도 보정 후에 오히려 추정 오차가 증가하는 이유는 β = 31.4와 314인 경우에 지하수 흐름이 정류 상태에 가깝기 때문에, 부정류 현상에 기인하는 오차라기 보다는 배경잔류농도가 올바르게 보정되지 않았기 때문으로 판단된다.
결과적으로, 지하수 흐름이 부정류 흐름 상태에 가까운 경우(즉, β 가 임계값인 6-15보다 작은 경우)에는 보정된 농도 격변곡선에 대한 추정오차가 β 가 증가함에 따라 줄어들고, 보정되지 않은 농도 격변곡선에 비해서 추정오차가 작았다. 반면, 지하수 흐름이 정류 흐름 상태에 가까운 경우(즉, β 가 임계값인 6-15보다 큰 경우)에는 기대했던 바와 달리 보정된 농도 격변곡선의 추정오차가 보정되지 않은 농도 격변곡선에 비해서 컸고, β 가 증가함에 따라 추정오차는 커졌다.
결론적으로, 기존에 자주 사용하였던 기존 해석해를 이용하여, 매개변수 추정 시, 관측 농도격변곡선에서의 배경잔류농도 보정 여부가 매개변수 추정의 정확성에 영향을 미침을 알 수 있었다. 더군다나 지하수 흐름 상태에 따라, 보정을 해야 더 정확한 추정이 가능한 경우도 있었고, 보정을 하지 않아야 더 정확한 추정이 가능한 경우도 있음을 알 수 있었다. 이러한 결과가 나타나는 원인은 기존 해석해의 배경잔류농도 보정 절차에 대한 적절성 외에도, 기존 해석해 모델의 한계점에서 원인을 찾을 수 있다. 기존 해석해는 지하수 상태가 정류 상태인 경우만을 가정하여 해석해를 유도하였기 때문에, 현재 이번 연구에서 제안한 부정류 흐름하에서 유도된 새로운 해석해에 비해서 매개 변수 추정 정확성이 떨어질 수 밖에 없다. 그 외에도 현재 실험 조건은 연속적인 주입 조건이 아니라, 일정한 시간 동안 주입되는 단계 주입 조건으로서, 단계 주입 기간이 길어지면 매개 변수 추정의 정확성도 높아질 것으로 추측된다.
위의 수치 실험으로부터 알 수 있듯이 기존의 해석해를 이용 시 배경잔류농도 보정 여부에 따른 일관되지 않은 추정의 정확성으로 인해서, 일반적인 적용의 한계점으로 드러난다. 그러나 제안된 해석해를 이용하여 매개변수 추정을 위한 표준곡선을 생성하는 경우에는 지하수 흐름 상태에 상관없이 항상 정확한 추정을 할 수 있다. Fig. 9에서 보는 바와 같이, 제안된 해석해를 이용하여 표준곡선을 생성하는 경우, 지하수 흐름 상태와 상관없이 추정 종분산지수가 실제 종분산지수인 1 m와 잘 일치하는 것을 볼 수 있다. 제안된 해석해를 이용한 표준곡선은 첫 번째 주입, 휴식, 두 번째 주입 등 모든 단계를 포함하므로, 첫 번째 주입으로 인한 배경잔류농도가 저절로 고려되어 배경잔류농도에 대한 별도의 보정이 필요하지 않다. 이때 Fig. 9(a)~9(d)에서의 관측 농도 격변곡선은 Figs. 5(a), 6(a), 7(a)와 8(a)의 관측 농도 격변곡선을 사용하였다.
|
Fig. 5 Curve matching technique. Observed breakthrough curve (BTC) obtained using the proposed semi-analytical solution when β = 1.57. The groundwater flow exhibits strong transient flow. The actual longitudinal dispersivity is set to 1 m. Using the existing analytical solution (Chen, 1987) assuming steady-state flow and a single tracer test, type curves for various αL values are generated. When (a) the background residual concentration is included in observed BTC, the estimated αL= 0.49 m, with an estimation error of 51.02%, and when (b) the background residual concentration is removed and corrected in the observed BTC, the estimated αL= 0.83 m with an estimation error of 16.79%. |
|
Fig. 6 Observed BTC is obtained using the proposed semi-analytical solution when β = 3.14. The groundwater flow exhibits transient flow. Using the existing analytical solution (Chen, 1987), type curves for various αL values are generated. When (a) the background residual concentration is included in observed BTC, the estimated αL= 0.67 m, with an estimation error of 33.11%, and when (b) the background residual concentration is removed and corrected, the estimated αL= 1.07 m with an estimation error of 7.01%. |
|
Fig. 7 Observed BTC is obtained using the proposed semi-analytical solution when β = 31.4. The groundwater flow is close to steadystate flow. Using the existing analytical solution (Chen, 1987), type curves for various αL values are generated. When (a) the background residual concentration is included in observed BTC, the estimated αL= 0.89 m, with an estimation error of 11.0%, and when (b) the background residual concentration is removed and corrected, the estimated αL= 1.33 m with an estimation error of 32.99%. |
|
Fig. 8 Observed BTC is obtained using the proposed semi-analytical solution when β = 314. The groundwater flow is very close to a steady-state flow. Using the existing analytical solution (Chen, 1987), type curves for various αL values are generated. When (a) the background residual concentration is included in observed BTC, the estimated αL= 0.92 m, with an estimation error of 7.97%, and when (b) the background residual concentration is removed and corrected, the estimated αL= 1.35 m with an estimation error of 34.99%. |
|
Fig. 9 Using the proposed analytical solution to perform curve fitting for observed BTCs under various groundwater flow conditions with different longitudinal dispersivity αL values, (a) β = 1.57 (groundwater flow exhibits a strongly transient flow condition), (b) β = 3.14 (groundwater flow exhibits a transient flow condition), (c) β = 31.4 (groundwater flow is close to a steady-state flow condition), (d) β = 314 (groundwater flow is very close to a steady-state flow condition). |
|
Table 1 Parameter estimation errors in repeated tracer tests varying with β |
†%Error refers to the error between the actual longitudinal dispersivity and the estimated longitudinal dispersivity used to best fit the corrected observed BTC using the existing analytical solition. The observed BTC is corrected by subtracting the background residual concentration. It is calculated as (actual longitudinal dispersivity – estimated longitudinal dispersivity)/actual longitudinal dispersivity *100. |
본 연구에서는 부정류 흐름 하에서 반복적으로 추적자 시험이 수행되는 경우에 대한 표준 곡선 제공을 위한 해석해가 개발되었다. 개발된 해석해는 GITT 기법을 이용하여 개발되었으며, 수치해와의 비교를 통해 검증되었다. 본 연구에서는 부정류 흐름 하에서 반복적인 추적자 시험의 두 번째 추적자 시험으로부터 얻은 농도 격변곡선에 대해서 부정류 및 배경잔류농도의 효과가 기존 해석해 (Chen, 1987)를 이용하여 추정 시, 매개변수의 정확성에 미치는 영향을 평가하였다. 부정류 상태가 미치는 매개변수 추정 오차를 평가하기 위하여, 다양한 b 의 값을 갖는 조건 하에서 수치 실험을 수행하였고, 배경잔류농도 보정의 영향을 평가하기 위해서, 배경잔류농도 비보정과 보정에 대해서 매개변수 추정 오차를 분석하였다.
수치 실험 결과, 지하수 흐름이 부정류 흐름 특성이 강하게 나타나는 경우, 배경잔류농도를 제거하여 보정한 관측 격변곡선을 사용해야 비교적 정확한 추정 결과를 얻을 수 있었고, 반면에 지하수 흐름이 정류 흐름에 가까운 경우에는 오히려 보정하지 않은(즉, 배경잔류농도를 포함한) 관측 격변곡선을 사용해야 상대적으로 정확한 추정 결과를 얻을 수 있었다. 위의 수치 실험으로부터 알 수 있듯이 기존의 해석해를 이용 시 지하수 흐름 상태에 따라 배경잔류농도 보정 여부에 따른 일관되지 않은 추정의 정확성은, 기존 방식 적용의 한계점으로 드러난다.
따라서 부정류 흐름 하에서 반복적인 추적자 시험이 진행될 경우, 부정류 흐름 및 선행 추적자 시험에 의한 배경잔류농도의 영향을 고려할 수 있는 새롭게 개발된 해석해를 활용 시 정확한 매개변수 추정이 가능함을 보였다. 마지막으로 이 연구에서 사용되었던 예제에서는 종분산 지수의 매개 변수 추정에 대해서만 나타냈지만, 지연계수, 일차 반응률, 공극률에 대해서도 적용 가능하고, 일정한 기간 동안 주입이 일어나는 단계 주입 방식뿐만 아니라, 순간 및 연속 추적자 시험의 경우도 tI1의 값을 조절함으로써 적용이 가능하다. 그밖에도 대수층 특성을 나타내는 S, T, B의 다양한 범위에 대해서도 적용이 가능하다. 그러나, 극심한 이방성 및 불균질 대수층에 대해서 적용하는 것은 아직 한계가 있다.
본 결과물은 환경부의 재원으로 한국환경산업기술원의 “수치모델링을 통한 원위치 화학적 산화 순환 정화 시스템 구축 및 현장 실증” 사업의 지원을 받아 연구되었습니다(RS-2023-00220587).
This Article2024; 29(5): 1-13
Published on Oct 31, 2024
Services
Correspondence toYonsei University, Departiment of Earth System Science, 50, Yonsei-ro, Seodaemun-gu, Seoul 03722, Republic of Korea