
Bang Sungsu1 ㆍKim Mintchul2 ㆍChun Mihee2*ㆍKim Jungsun2 ㆍAhn Hongil2
1Korea Rural Community Corporation, Jeollanam-Do 58327, Korea
2Universal Environmental Policy Institute, Gyeonggi-Do 14059, Korea
방성수1 ㆍ김민철2 ㆍ천미희2*ㆍ김정선2 ㆍ안홍일2
1한국농어촌공사
2(주)국제환경정책연구원
This article is an open access article distributed under the terms of the Creative Commons Attribution Non-Commercial License (http://creativecommons.org/licenses/by-nc/4.0) which permits unrestricted non-commercial use, distribution, and reproduction in any medium, provided the original work is properly cited.
This work presents a case study of assessing the overall performance of land farming technique performed at an oil-contaminated site. The land farming was conducted at a 70,000 m2 site contaminated with diesel, JP-8-diesel, or lubricant due to underground leakage from the oil storage tanks. Five treatment plots were operated in the tests, in which the concentration changes of xylene and TPH in the soil were separately monitored in two and 15 batches, respectively. The overall performance of the remediation process was assessed by estimating the pseudo-first-order rate constant (kobs) of each test. The obtained kobs values of TPH degradation ranged in 0.054~1.287 mg/kg/day, with the average kobs being 0.021 mg/kg/day, which is close to the degradation rate of 0.025 mg/kg/day, the target kobs value set in the design of the process. The degradation rate showed an inverse relation with the contaminant level in the soil, but was not influenced by soil texture. Temperature showed a positive correlation with the degradation process, with its impact being most pronounced in July. TPH initial concentration and temperature showed a low level of correlation (R2 = 0.4) with the decomposition rate constant. The data obtained in this work can serve a useful framework for establishing a quality management strategy for soil remediation projects involving landfarming technique.
Keywords: Petroleum-contaminated soil, Landfarming, Decomposition rate constant (k), Soil remediation management, Cleanup evaluation
국내 최초의 대규모 오염토양 정화 사업은 과거 1950년대부터 군용 차량을 재생하고 정비하던 정비창 기지로 차량 정비에 필요한 윤활유 및 유류 등으로 장기간 토양이 오염된 부산시 문현동 소재의 육군 제2정비창 약 106,500 m2 부지의 오염토양 정화 사업이다. 이 사업은 2001년에 착수하여 2003년에 완료되었으며, 정화공법은 토양경작법(landfarming)과 열탈착법(thermal desorption)이 적용되었다(KRC, 2003). 이후 2006년부터 2012년까지 국내에서 수행한 22개 오염토양의 정화 사업에 적용된 정화공법은 단일 공법만 적용하기보다 2~3개 공법을 복합적으로 적용하였으며, 토양경작법은 22개 정화 사업 중에서 19개 사업에 적용되었다. 이러한 토양경작법은 비교적 저농도 오염토양 정화에 효율적이며, 토양의 특성을 잘 보존하는 방법으로 확인되었다(Oh, 2013). 2016~2017년 국내의 오염토양 정화에 적용된 정화공법은 토양경작법(56~62%), 화학적산화법(12~16%), 토양세척법(10~11%)의 순으로 토양경작법에 의한 오염토양의 정화가 가장 많이 이루어졌다(KEIT, 2019).
1995년 토양환경보전법이 제정·시행된 이후로 2024년 현재까지 법·제도 운영의 미비점 개선 및 타법 개정 등으로 36차 개정(2025년 37차 개정 예고)이 이루어졌다. 이러한 과정에서 오염토양의 정화 과정 및 완료에 대한 검증의 필요성이 제기됨에 따라 토양 정화의 검증 항목이 2004년 12월에 신설되었다(토양환경보전법 제15조의6제1항). 토양 정화검증은 토양 정화 결과에 대한 객관적인 평가와 신뢰성을 높이기 위한 목적으로 정화업자와 토양오염 원인자가 아닌 제3의 토양오염 조사기관으로 하여금 오염토양의 정화 과정 및 정화 완료 여부를 확인하게 하는 제도이다. 이러한 토양 정화의 검증에도 불구하고 최근 정화완료 부지에서 오염토가 확인되는 등의 정밀조사 및 토양정화의 품질관리에 관한 문제가 제기되고 있다. 정화가 완료된 부지에서 발생하는 오염토 확인에 대한 문제를 해결하기 위해서는 크게 2가지 측면에서 접근해야 한다. 첫째, 기술·과학적 측면에서 토양에 존재하는 오염물질의 불균일한 분포 특성으로 인한 조사 한계를 인정하고, 토양오염공정시험기준의 시험방법이 포함하고 있는 통계적 의미를 인식하는 것이다. 둘째, 현재 운영되고 있는 토양 정화검증 제도는 전체 부지가 아닌 부지 내의 오염 구역 및 오염토양을 대상으로 이루어진다는 것이다. 이러한 점을 인식하고 미흡한 제도를 개선해야 정화완료 부지에서 발생하는 오염토 확인에 대한 현실적인 관리 방안이 수립될 수 있다. 정화완료 부지에서 오염토가 확인된 경우에는 재정화가 이루어져야 하며, 정화 명령을 받는 대상자는 정화 책임자가 된다. 정화완료 후 재정화 명령을 받은 정화 책임자는 정밀조사 및 정화를 수행한 조사기관 및 정화업자를 대상으로 민·형사 소송을 진행하기도 한다. 따라서 확인된 오염토에 대하여 각 자의 입장에서 정당성을 입증할 방안을 마련할 필요가 있다.
본 연구에서는 토양경작법으로 유류오염을 정화한 부지에서 실시된 정화품질관리와 정화완료 판정 절차를 소개하여 향후 오염 부지의 정화 관리 방안 마련에 기초 자료를 제공하고자 한다.
2.1. 연구 대상 지역
본 부지는 표고 50~80 m 구릉지대의 약 70,000 m2로 1981년~1984년에 50,000 배럴 용량의 유류 탱크가 7기 설치되었던 장소이며, 토양 오염 원인은 유류탱크의 파손에 의한 경유, JP-8-경유, 윤활유의 누출로 확인되었다. 2012년에서 2019년까지 3차례에 걸쳐서 토양오염을 확인하기 위한 조사가 실시되었으며, 2020년부터 실시설계를 거쳐 2023년까지 정화가 수행되었다.
오염토양의 정화는 부지 내(on-site)에서 실시되었으며, 정화 대상물질은 xylene 및 Total petroleum Hydrocarbon (이하 TPH)의 2종이였다. 오염토양의 정화는 전량 토양경작법으로 수행되었으며, 정화목표는 2지역 우려기준1)이 적용되었다. 본 부지의 오염토 및 정화 개요는 Table 1과 같다.
2.2. 토양경작 공정
본 부지의 오염토 정화를 위하여 5개 경작동(house)이 운영되었으며, 오염물질별 경작동 운영은 xylene 5회(2021년 3월~5월), TPH 57회(2021년 1월~2022년 8월)가 실시되었다. 부지 내 오염 구역에서 굴착된 오염토양은 현장 상황에 따라 일정 기간 보관된 후 경작장으로 투입되거나 굴착 후 바로 투입되었다. 미생물제 및 영양소의 투입2)은 운전 시작 전에 오염토양의 특성(pH, 함수율, 미생물 수, 암모니아성질소, 총인, 토성)을 분석하여 결정하였다. 경작을 위한 경운 및 수분공급은 주 1~2회 이루어졌으며, 경작 과정의 오염물질 농도 확인은 각 경작동에 설치된 8개 방형구(cell)에서 7~10일 간격으로 수행되었다. 오염물질 농도 분석은 xylene는 총 30회, TPH는 총 2,316회 실시되었다. 토양시료의 분석 방법은 Table 2와 같다.
2.3. 토양경작 분해속도 모델 선정
TPH와 같은 유기화합물의 미생물 분해를 정량화하는 분해 속도 모델은 오염물질의 농도만 고려한 1차 속도식 분해 모델(first order kinetics model), 분해 저항성을 가진 오염물질을 설명하기 위한 변형된 1차 속도식 분해모델(modified first order kinetics model) 및 오염물질의 재분배까지 고려한 2차 분해 모델(two compartment model)이 제안되고 있다. 1차 속도식 분해 모델은 토양 내 오염물질의 미생물 분해에 대한 합리적이고 간단한 예측 모델이다(Demque et al., 1997; Jørgensen et al., 2000). 하지만 오염물질의 존재 형태 또는 현장의 환경요인에 따라 잘 적용되지 않을 수 있는데, 이러한 경우에는 분해 저항성이 큰 물질의 잔류 현상 설명을 위한 변형 1차 속도식 분해 모델(Nocentini et al., 2000; Demque et al., 1997)과 초기의 빠른 분해 및 후반의 느린 분해를 설명하기 위한 2차 분해 모델이 적용된다(Brusseau et al., 1991; Cornelissen et al., 1997).
국내에서 토양경작법으로 정화를 설계하는 경우, 운전 기간 예측을 위하여 실증시험 단계에서 1차 속도식 분해 모델이 일반적으로 사용된다(KSSGE, 2009; Jo et al., 2014). 기존 연구에서 TPH의 1차 분해속도상수(k)를 구한 자료에 따르면 초기농도에 따라 다르지만 0.010~ 0.120 day¯의 값을 나타낸다(Lee, 2011). 본 연구 부지의 경작장 설계를 위한 실증시험에서도 1차 속도식 분해모델이 적용되었으며, 실증시험 결과 분해속도상수는 0.025 day-, 경작 기간은 안전율(1.3)을 고려하여 81일로 설정되었다.

여기서, C0 초기농도(mg/kg)
Ct 시간 t 경과 후의 오염농도(mg/kg)
t 시간(day)
2.4. 경작장의 정화품질관리
경작장의 정화품질관리는 분해속도상수의 적정성 분석을 통한 정화 예측 및 평가로 수행되었다.
최초 배치(batch)4)에서는 설계 시의 분해속도(0.025 day¯)를 적용하여 오염물질 저감을 확인하였다. 최초 배치 운영 후에는 이전 배치의 결과에 따라 최소(kmin), 최대(kmax) 및 평균(kcor)의 농도저감 예측곡선(이하, 예측곡선)을 작성하고, 안전율(1.3)을 적용한 경작완료 예상일(이하, 예측경작일)을 설정하였다(Fig. 1). 이때, 경작일(tc)은 분석일을 기준으로 모든 방형구(8개)가 목표농도 이하에 도달한 기간, 초기농도(C0)는 방형구 초기 평균 농도, 최종농도(Ct)는 경작일(tc)의 방형구 평균 농도이다. 경작일 이후에는 최소 1회 경운을 실시하고 농도를 재확인한 후 경작장에서 반출하였다. 이때, 오염토가 경작장으로 반입, 정화 및 반출된 총 기간을 운전일(tfinal)이라 한다. 본 연구에 사용한 분해속도상수의 정의는 Table 3에 정리하였다.
2.5. 부지 정화완료 평가
토양정화 및 되메움이 완료된 이후의 부지 정화완료 평가는 Fig. 2의 절차에 의해 수행하였다.
Fig. 2의 절차에 따라 부지의 정화완료 여부를 평가하기 위해서는 Table 4의 인자값을 단계적으로 결정해야 한다.
2.5.1. 정화평가 기준(Cs) 결정
US EPA(1989)에서는 정화공법, 배경농도, 위해성 및 예산 등 오염 부지의 특성을 고려하여 부지의 정화 기준을 설정하고 정화한 후 평가하도록 권고하고 있다. 반면 국내에서는 토양환경보전법에서 따라 정화목표 기준을 설정하고 있다. 따라서 본 부지의 정화평가 기준은 정화설계 시 채택한 토양오염 2지역 우려기준으로 결정하였다.
2.5.2. 시료 채취 방법 결정
US EPA(1989)에서는 부지의 형태 및 농도의 분포에 따라 Fig. 3과 같이 3가지 시료 채취방 법을 제시하고 있다. 시료 채취 방법에 따라 농도평가값(mua)의 산정식이 달라지므로 부지의 특성에 맞게 시료 채취 방법을 결정해야 한다.
본 부지에서는 되메움 정화토가 부지내 넓게 분포하고 정화토의 농도 편차도 크지 않았으므로 systematic sampling을 채택하였다(Fig. 4). 조사 지점의 선정은 x축과 y축의 크기가 동일한 사각(square) 격자법을 사용하였다.
2.5.3. 조사 지점수(n) 결정
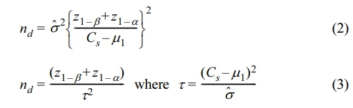
조사 지점수를 산정하기 위해서는 통계적으로 유의미한 신뢰수준과 불확실성을 결정해야 한다. 분석값에 의한 판정은 실제 상태에 대한 신뢰수준의 범위에서의 불확실성 통계이므로 먼저 신뢰수준, 위양성율(a), 위음성율(b)를 결정하고 조사 지점수를 산정한다(Table 5).
본 부지의 조사 지점수 결정을 위한 통계적인 신뢰수준은 95%, 위양성율과 위음성율은 각각 0.05, 0.20을 적용하였으며, US EPA(1989)에서 제안된 식 (2), 식 (3) 및 검정곡선(Fig. 5)을 비교하였다.

여기서, σ̂ 표준편차의 참값
μ1 결정된 검정곡선에서 Cs로 산정한 값
Z1-β확률이 1-β 인 정규분포의 임계값
Z1-α확률이 1-α 인 정규분포의 임계값
Xylene은 되메움 평균농도가 0.1 mg/kg(5개)으로 동일하였으므로, 조사지점수는 TPH의 되메움 평균농도 56개로 산정하였다. TPH의 함수값은 Table 6과 같다.
식 (2)과 식 (3)에 의한 조사 지점수는 9.2개, power curve(cv)에 의한 조사 지점수는 4~61개의 범위로 산정되었다. 한편, 사각격자(80 m × 80 m)에 의한 시료 채취 지점을 확인한 결과 부지의 정화완료 확인을 위한 최소 조사 지점수는 15지점이였다(Fig. 6). 최종적으로 지표면의 사면부 및 지장물 등으로 계획 좌표에서 시료 채취가 불가능한 경우를 고려하여 조사 지점수는 총 90개로 결정하였다. 조사는 표층에서 암반까지 1 m 간격으로 TPH 90지점(시료 552점), xylene 25지점(시료 267점)에서 수행되었다.
2.5.4. 토양시료 분석 방법
US EPA(1989)의 부지 정화완료 평가를 위한 토양시료 분석법에서는 개별(individual) 및 혼합(compositing) 시료를 모두 허용하고 있다. 다만, 현장에서의 시료 제조법을 제시하고 이에 준하도록 하고 있으며, 예산을 고려하여 결정하기를 권한다. 하지만 국내에서는 토양환경보전법에 따른 시료 채취와 분석 방법이 있으므로 본 부지의 정화 완료를 확인하기 위한 시료 채취 및 분석은 토양오염공정시험기준(국립환경과학원고시 제2022-38호)에 준하여 실시하였다.
2.5.5. 부지 정화완료 평가
US EPA(1989)의 절차에 따라 systematic sampling을 선택한 경우 농도평가값 산정식은 식 (4)와 같다.

여기서, X̄ 평균농도
t1-d,df 위양성율(a)과 자유도(df)의 비교값
산정된 농도평가값이 식 (5)와 같이 정화평가 기준보다 낮으면 부지가 적정하게 정화되었다고 판정하고 정화를 완료한다. 그러나, 농도평가값이 식 (6)과 같이 정화평가 기준보다 높으면 부지의 정화가 미흡한 것으로 판정하고 Fig. 2의 절차에 따라 오염지역을 검토하여 정화를 다시 수행한 후 부지의 정화완료 여부를 재평가한다.
|
Fig. 1 Procedure of the remediation quality control by decomposition rate constant (k). |
|
Fig. 2 Methods for evaluating the attainment of cleanup standards (US EPA, 1989). |
|
Fig. 3 Illustration of random, systematic and stratified sampling (axes are distance in meter) (US EPA, 1989). |
|
Fig. 4 Concentration distribution before and after soil remediation |
|
Fig. 5 Power curve for α = 5%. |
|
Fig. 6 Proposed site grid and survey point. |
|
Table 2 Analysis methods of the soil samples |
1) after perchloric acid decomposing and filtering. |
|
Table 5 A diagrammatic explanation of false positive and false negative conclusions |
3.1. 토양경작 정화품질관리
3.1.1. Xylene
최초 배치(2배치)의 2개 경작동의 운전 결과에 따라 최대, 최소, 평균 분해속도상수를 산정하고 저감곡선을 작성하여 두 번째 배치(3배치)의 3개 경작동의 저감 양상을 예측하였다.
최초 배치의 경작일은 Fig. 7과 같이 C동 24일, D동 6일로 큰 차이를 보였다. 최초 배치의 운전 결과에 따라 두 번째 배치의 정화품질관리를 위한 최대(1.72 day¯), 최소(0.13 day¯), 평균(0.442 day¯) 분해속도를 산정하고 예측곡선을 작성하였다. 안전율(1.3)이 적용된 3배치 예측경작일은 A동(초기농도 34.8 mg/kg) 0.6~8.6일, B동(초기농도 34.1 mg/kg) 0.6~8.4일, C동(초기농도 38.3 mg/kg) 0.7~9.6일로 예측되었다. 정화 결과 정화목표 농도에 도달한 경작일은 Fig. 8과 같이 A동은 15일, B동은 7일, C동은 7일이었다. B동 및 C동의 모든 방형구에서 xylene 감소는 예측 범위 이내였으나, A동의 경우에는 대부분의 방형구에서 예측곡선의 최소 분해속도보다 낮았다. A동은 예측경작일 경과 후에는 경작 인자(미생물 수, 질소·인 농도)와 운전 조건(경운, 수분 공급)을 점검하고 정화를 완료하였다. 이상의 xylene 정화품질관리에 사용된 분해속도상수는 Table 7과 같다.
3.1.2. TPH
최초 배치(1배치)에서는 설계 분해속도상수로 5개 경작동의 예측경작일을 산정하였으며, 운전 결과에 따라 최대, 최소, 평균 분해속도상수를 산정하고 예측곡선을 작성하였다. 두 번째 배치부터 15배치까지 앞선 배치와 평균한 분해속도상수를 적용하여 다음 배치의 예측곡선과 예측경작일을 산출하였으며, 최대 및 최소 범위 이내에서 정화품질관리를 실시하였다.
경작일을 기준으로 산정된 배치별 TPH의 평균 분해속도상수(kave)는 경작 초기에는 설계 분해속도상수를 크게 벗어나지 않았으나, 배치의 진행에 따라 증가하였다(Fig. 9). TPH 경작장은 1배치에서 10배치까지는 TPH 초기농도 800 mg/kg 이상의 오염토가 반입되었으나, 11배치부터는 정화 안전성을 위한 조치로 초기농도가 800 mg/kg에 근접하거나 낮은 오염토가 반입되었다. 따라서 배치의 진행에 따른 TPH 평균 분해속도의 증가는 대부분 낮은 초기농도와 짧은 경작일에 의한 것이다. 한편, 운전일 기준의 최종 분해속도상수(kfinal)는 0.022~0.081 day¯로 산정되었으므로, 실제 정화목표까지 농도가 낮아지는 기간과 정화를 완료한 기간은 큰 차이를 보였다.
현장에서의 정화 완료는 목표농도 이하의 분석값에 의존하므로, 분석시료 중의 최대 농도값은 정화완료 여부를 결정하는 기준이 된다.
Fig. 10은 경작일 150일을 기준으로 경작일 별 TPH 최대 농도에 대한 저감 추세를 나타낸 것이다. TPH 최대 농도의 감소 추세선에 의한 분해속도상수(0.020 day¯)는 설계 분해속도상수(0.025 day¯)와 큰 차이를 보이지 않았다. 경작일은 평균 13.8일(최소 1일, 최대 144일), 운전일은 평균 36.6일(최소 20일, 최대 162일)로 대부분의 경작동은 설계 기간(81일)보다 짧게 운영되었다. 이는 반입 TPH 농도(최대 1,884 mg/kg)가 설계 TPH 농도(4,000 mg/kg) 보다 낮은 것에 기인하였다.
이상의 TPH 정화품질관리에 사용된 분해속도상수는 Table 8과 같다.
3.2. 분해속도상수(k)에 의한 정화 평가
경작장의 정화평가는 xylene의 경우 5동만 이루어졌으므로, 57동의 경작이 수행된 TPH를 대상으로 수행하였다. 경작장의 TPH 분해속도와 현장 조건과의 연관성을 확인하기 위하여 TPH의 경작 기간의 구간별로 분해속도상수(이하, 구간 분해속도상수(kinterval))를 산출하고, 상관관계를 분석하였다.5)
3.2.1. TPH 구간 분해속도상수
TPH 구간 분해속도상수(2,313개)는 Fig. 11과 같다. 구간 분해속도상수는 평균 0.021(최소 0.04, 최대 0.034) day¯로 설계 분해속도상수와 큰 차이는 없었다.
3.2.2. 반입 농도와 TPH 구간 분해속도상수
경작장 반입 농도에 따른 TPH 구간 분해속도상수의 분포와 점유율은 Fig. 12와 같다. 구간 분해속도상수는 반입 농도 1,000 mg/kg이하에서는 평균 0.023~0.040 day¯, 1,000~3,000 mg/kg에서는 평균 0.017~0.018 day¯, 3,000 mg/kg 이상에서 평균 0.004~0.013 day¯로 산정되었다. 전반적으로 반입 농도의 증가에 따라 구간 분해속도상수의 값은 감소하였으며, 가장 많은 반입 농도 1,000~3,000 mg/kg에서 구간 분해속도는 거의 차이가 없었다. 반입 농도 1,000~2,500 mg/kg의 경우에는 경작 초기의 빠른 분해(k > 0.05, 7~9%)가 이루어진 후 느린 분해(k < 0.01, 44~53%)가 지속되었다.
그러나 반입 농도 3,500 mg/kg 이상의 경우에는 초기의 빠른 분해는 거의 이루어지지 않았으며, 느린 분해(k < 0.01, 100%)만으로 정화가 이루어졌다. 이상의 결과에서 반입 농도가 낮을수록 TPH 분해는 다양한 속도로 이루어지는 반면, 반입 농도가 높은 경우(특히, 3,000 mg/kg 이상)에는 계획(설계 분해속도상수)보다 낮은 분해속도를 유지하였다.
3.2.3. 토성과 TPH 구간 분해속도상수
경작장으로 반입된 오염토는 양토(loam), 양질사토(loamy sand), 사토(sand), 사양토(sandy loam)로 주로 통기성이 좋은 모래질 성분으로 구성되었다(Table 9). 반입 오염토의 토성이 경작 효율에 미치는 영향을 확인하기 위하여 토성(soil texture)과 TPH 구간 분해속도상수의 상관관계를 분석하였다(Fig. 13). 구간 분해속도상수는 양질사토(loamy sand), 사토(sand), 사양토(sandy loam), 양토(loam)의 순이였으나, 유의미한 상관관계는 보이지 않았다.
3.2.4. 반입 시기와 TPH 구간 분해속도상수
오염토가 반입된 시기가 경작 효율에 주는 영향을 확인하기 위하여 오염토가 경작장으로 반입된 월(month)과 TPH 구간 분해속도상수의 상관관계를 분석하였다(Fig. 14). 평균 구간 분해속도상수는 7월에 가장 높고 1월에 가장 낮았으며, 5월~7월은 구간 분해속도상수의 범위도 넓고 평균도 높았다. 경작은 2021년 1월~2022년 8월까지 진행되었으며, 본 정화 부지에서 가장 가까운 지역(대구)의 월평균 기온은 Table 10과 같다. 2021년 및 2022년 7월의 평균 기온이 년 중 가장 높았으며, 이는 7월 구간 분해속도상수가 가장 높은 것이 온도와 연관되어 있음을 보여준다.
그러나 7월을 제외한 5월부터 9월까지의 구간 분해속도상수와 기온과의 상관관계는 일정하지 않았다. Fig. 15는 반입 시기에 따른 TPH 반입 농도와 기온을 나타낸 것으로 반입 시의 TPH 농도는 일정하지 않고 2022년에 접어들어 점차 낮아졌다. 이상으로 반입 시기의 기온이 높으면 정화 효율은 높지만 반입 농도에 따라 구간 분해속도는 달라졌다. Fig. 16과 같이 TPH 구간 분해속도상수와 반입 농도 및 기온과의 상관관계(R2)는 모두 약 0.4로 나타났다.
3.2.5. 반입 구역과 TPH 구간 분해속도상수
반입 구역은 본 부지의 오염 구역으로 설계 시 설정되었으며, 오염토 굴착 과정에서 오염이 확인되지 않은 일부 구역은 제외되었다. 정화가 실시된 반입 구역별 오염토의 초기 물리·화학적 성상은 Table 11과 같다. Fig. 17은 반입구역(in-zone)별 TPH 분해속도를 확인하기 위하여 상관관계를 분석한 것이다. 구간 분해속도는 8구역 오염토에서 가장 높았으며, A(경작장), B(임시적치장), C(야적장) 구역의 오염토에서 낮은 값을 보였다. 9,13구역(9구역 및 13구역의 오염토)을 제외하고는 대부분 경작장(A) 및 굴착 후 보관한 오염토(B, C)에서 낮은 분해속도를 보였으므로, 본 부지에서는 굴착 후 바로 경작을 시작하는 것이 TPH 분해 효율이 높았다. 하지만 여러 구역의 혼합 오염토가 반입되는 경우에는 일관된 연관성을 보이지 않았으므로 Fig. 18과 같이 반입 농도와 분해속도상수와의 상관관계를 확인해 보았다. 반입 구역별 반입 농도와 구간 분해속도상수와의 상관관계(R2)는 0.3으로 크게 높지는 않지만, 반입 농도는 TPH 구간 분해속도에 영향을 주는 것으로 나타났다.
3.3. 부지 정화완료 평가
본 부지의 정화완료 평가를 위하여 채취된 시료의 TPH 및 xylene 분석결과는 Table 12와 같다.
조사 지점 및 시료수에 따른 농도평가값(mua)의 차이를 확인하기 위하여 대상부지의 조사 결과를 바탕으로 xylene 및 TPH의 조사 지점을 Fig. 19 및 Fig. 20과 같이 각각 구획하고 평가값을 산정하였다.
총 조사시료 및 격자 구획별 조사시료에 대한 농도평가값은 Table 13과 같다. xylene의 농도평가값은 총 조사시료의 평균으로 산정한 경우는 0.21, 80 m 정방형 격자의 경우는 0.34, 120 m 정방형 격자의 경우는 0.19로 모두 xylene의 정화평가 기준(15 mg/kg)보다 낮았다. 또한 TPH의 농도평가값은 총 조사시료 평균으로 산정한 경우는 92.7, 40 m 정방형 격자의 경우는 96.7, 80 m 정방형 격자의 경우는 111.4, 120 m 정방형 격자의 경우는 127.7로 모두 TPH의 정화평가 기준(800 mg/kg)보다 낮았다. 이상으로 xylene과 TPH는 모든 경우에 정화평가 기준 이하였으므로 본 대상부지를 ‘정화 완료’로 판정하였다.
|
Fig. 7 Decreasing curve of xylene concentration in first batch |
|
Fig. 8 Predicted decreasing curve and actual concentration of xylene in second batch. |
|
Fig. 9 TPH initial concentration and k of each batch. |
|
Fig. 10 Decreasing trend of maximum TPH concentration by operating period. |
|
Fig. 11 kinterval of TPH for the operating period. |
|
Fig. 12 Distribution of kinterval according to initial TPH concentration. |
|
Fig. 13 Distribution of kinterval according to soil texture. |
|
Fig. 14 Distribution of kinterval according to operation. |
|
Fig. 15 TPH concentration and temperature during the landfarming period |
|
Fig. 16 Correlation of initial TPH concentration and temperature on kinterval by starting operation time (month). |
|
Fig. 17 Distribution of kinterval according to in-zones. |
|
Fig. 18 Correlation of initial TPH concentration and kinterval according to in-zones. |
|
Fig. 19 Square grid for xylene. |
|
Fig. 20 Square grid for TPH. |
|
Table 10 Temperature data of Daegu City near by the remediation site |
*Korea Meteorological Administration (2021.01-2022.08) |
|
Table 11 Physicochemical properties of contaminated soil according to the in-zones |
1) Contaminated soil under landfarming house : A |
본 연구는 토양경작법을 실시한 유류오염부지의 경작장 정화품질관리와 정화부지의 정화완료 여부 평가를 실시한 사례를 소개하여 향후 오염부지의 정화품질관리 방안 마련에 기초 자료를 제공하고자 하였다.
4.1. 토양경작의 정화품질관리
1차 분해모델에 의한 xylene과 TPH의 분해속도상수로 정화완료일 및 농도 범위를 예측하는 절차를 설계하고 정화 과정의 품질을 관리하였다. xylene 2배치 5동, TPH 15배치 57동이 운전되었으며, 최소(kmin) 예측곡선을 벗어나는 경작동은 경작 인자(미생물 수, 질소·인 농도)와 운전 조건(경운, 수분 공급)을 점검하면서 정화를 수행하였다. 이러한 정화 과정에서의 관리는 현장에서 신속한 점검 및 조치가 가능하게 하였다.
4.2. 분해속도상수에 의한 정화 평가
정화평가는 TPH를 대상으로 수행하였으며, 설계 분해속도 및 설계 경작일과의 비교 평가로 이루어졌다. TPH 분해속도는 최고 분해속도상수에 의한 감소 예측이 설계 분해속도상수(0.025 day-1)와 가장 근접하였으며, 경작일은 13.8일, 운전일은 36.6일로 설계 경작일(81일)보다 짧았다. 이는 실제 정화에 투입된 오염토의 TPH 농도가 설계 농도(4,500 mg/kg)에 비해 낮은 것에 원인이 있었다. 최종적으로 당초 설계된 분해속도상수보다는 낮았으나, 경작장 분해속도상수는 최대 1.287, 최소 0.054의 범위에 대부분 분포하였으므로 토양경작은 적절하게 운영 관리된 것을 확인할 수 있었다.
경작장 환경인자와 분해속도상수와의 상관관계를 확인하기 위하여 산출한 구간 분해속도상수는 평균 0.021 day-1으로 설계 분해속도상수와 유사한 값을 보였다. 반입 농도가 높아질수록 구간 분해속도상수는 낮아졌으며, 3,500 mg/kg를 기준으로는 급격히 저하되었다. 토성(양토, 양질사토, 사토, 사양토)과 구간 분해속도상수는 유의미한 상관관계를 보이지 않았다.
반입시기(온도) 및 반입구역(굴착)과 구간 분해속도상수는 유의미한 상관관계를 보였다. 기온이 높을수록 굴착 후 바로 경작할수록 구간분해속도상수가 높은 것으로 나타났다. 그러나 본 부지에서 수행된 토양경작의 가장 큰 운전 인자는 반입 농도로 확인되었다.
4.3. 오염부지의 정화완료 여부 평가
토양정화 및 되메움이 완료된 후 부지의 정화 완료 여부를 US EPA(230/02-89-042)의 절차에 따라 판정하였다. xylene과 TPH의 정화평가 기준(Cs)인 우려 2지역 기준을 농도평가값(mua)과 비교한 결과 모두 정화평가 기준 이하였으므로, 본 연구 대상부지는 정화가 완료되었다고 판정하였다. 이러한 EPA 절차에 의한 부지정화 완료평가는 절차가 비교적 간편하고 최소의 예산으로 실시할 수 있다.
이상으로 본 연구에서는 토양경작에 한하여 분해속도상수에 의한 정화품질관리를 제안하였으나, 향후 토양세척 및 열처리의 정화품질관리를 위한 방법과 절차 개발을 위한 연구도 필요하다. 정화부지에 대한 정화완료 평가는 모든 부지에 적용하기는 어렵지만 평가가 필요한 경우에는 본 연구에서 제시된 방법 및 절차에 의해 수행할 수 있다. 이러한 오염토양의 정화품질관리와 오염부지의 정화완료 평가가 최근 발생하고 있는 정화부지의 오염토 확인 등의 문제 해결을 위한 사전 관리로 활용되기를 기대한다.
This Article2024; 29(6): 22-34
Published on Dec 31, 2024
Services
Correspondence toUniversal Environmental Policy Institute, Gyeonggi-Do 14059, Korea