
Seok-Soon Jeong1, Seong-Hyeon Nam1, Da-Eun Kim1, Chae-Yoon Won1, Jung-Hwan Yoon1, Jae E. Yang1,2, and Hyuck-Soo Kim1*
1Department of Biological Environment, Kangwon National University, Chuncheon 24341, Korea
2SolEnvi Inc., Chuncheon 24341, Korea
정석순1ㆍ남성현1ㆍ김다은1ㆍ원채윤1ㆍ윤정환1ㆍ양재의1,2ㆍ김혁수1*
1강원대학교 바이오자원환경학과, 2주식회사 쏠엔비
This article is an open access article distributed under the terms of the Creative Commons Attribution Non-Commercial License (http://creativecommons.org/licenses/by-nc/4.0) which permits unrestricted non-commercial use, distribution, and reproduction in any medium, provided the original work is properly cited.
Enhanced weathering (EW) is emerging as a promising carbon dioxide removal strategy that also delivers environmental co-benefits such as improved plant growth and soil quality. This review synthesizes the mechanisms of EW, the key factors controlling its efficiency, and its broader environmental implications, with a focus on its potential application in Korea. EW involves applying crushed silicate rocks or industrial by-products to soils, thereby accelerating natural weathering processes that capture atmospheric CO2 and stabilize it as stable carbonates. The process progresses through three stages: hydration of CO2 to carbonic acid, weathering reactions releasing basic cations (Ca²⁺, Mg²⁺), and subsequent carbonate mineralization. Weathering rates are strongly shaped by climate, particularly temperature and precipitation, while particle size determines efficiency through surface area, with finer particles enhancing sequestration but incurring higher energy costs. Soil pH also creates trade-offs, as acidic conditions (pH 4~6) favor weathering, whereas alkaline conditions (pH 8~10) promote carbonate precipitation. Reported benefits include 7~46% increases in plant productivity and carbon sequestration rates of 0.026~10.5 t CO2/ha/yr, along with improved soil pH, greater exchangeable Mg and Si, and enhanced phosphorus availability. Successful deployment in Korea will require region-specific approaches that account for soil properties, monsoon-driven climate patterns, and local agricultural practices.
Keywords: Carbon dioxide removal, Climate change, Enhanced weathering, Silicate mineral
기후변화는 장기간에 거쳐 대기 온도상승에 따른 기후 양상의 변화를 말한다(Fawzy et al., 2020). 기후 양상의 변화는 작물 생산량 감소, 생물다양성 감소, 산림교란, 관광객 감소 등 지난 수십 년 동안 다양한 환경, 사회, 경제적 분야에 영향을 미치고 있으며 지구가 직면하고 있는 해결해야 할 주요 과제 중 하나이다(Abbass et al., 2022).
전세계적으로 기후변화를 완화하기 위한 본격적인 노력은 세계기상기구(World Meteorological Organization, WMO)에 의해 1979년에 제네바에서 진행되었던 기후 회담(Climate Conference)을 계기로 시작되었고, 1988년에 기후변화에 관한 정부 간 협의체(Intergovernmental Panel on Cimate Change, IPCC)를 설립하고, 1992년에는 기후 변화에 관한 유엔 기본 협약(United Nations Framework Convention on Climate Change, UNFCCC)을 채택하였다. 이후 UNFCCC에서는 매년 당사국총회(Conference of Parties, COP)를 개최하고 있다. 1997년 제3차 당사국총회(COP 3)에서 2020년까지 선진국에 대한 온실가스 감축 의무를 부과하는 교토 의정서(Kyoto protocol)를 채택하였다. 2015년 파리에서 개최된 제21차 당사국총회(COP 21)에서는 교토 의정서의 만료 예정일이 도래하고 있어 195개 당사국 모두 참여하는 신기후체제인 파리기후변화협약(Paris Climate Change Accord)을 채택하고 각 국가별로 자발적 감축목표 (Nationally Determined Contribution, NDC)를 설정하여 이행하고 있다(Fawzy et al., 2020). 우리나라의 현재 NDC는 2030년도까지 2018년도 배출량 대비 40% 감축(727.6 → 436.6 Mt CO2-eq)하는 것이다.
각 국가별로 다양한 정책을 발굴하고 기술을 개발, 활용하여 NDC를 달성하기 위한 노력을 하고 있다. IPCC (2022)는 기후변화를 완화할 수 있는 이산화탄소 제거 (carbon dioxide removal, CDR) 기술 열 가지를 소개하고 있는데 토지 (land)와 관련된 CDR 기술은 i) 조림/재식림 (afforestation/reforestation), ii) 토양탄소격리(soil carbon sequestration), iii) 바이오차(biochar), iv) 탄소포집 및 저장을 동반한 바이오에너지(bioenergy with carbon capture and storage, BECCS), v) 풍화촉진(enhanced weathering, EW), vi) 이탄지 및 연안습지 복원(peatland and coastal wetland restoration)으로 총 여섯 가지다. 그 중 풍화촉진 (EW) 또는 암석풍화촉진(enhanced rock weathering, ERW) 기술에서 풍화(weathering)란 용어는 암석이나 광물이 물리, 화학, 생물학적 힘에 의해 작은 입자로 변화는 과정을 의미하는데 자연 상태에서는 이 과정이 아주 오랜 시간이 소요된다. 여기서 촉진(enhanced)이란 의미는 오랜 시간이 소요되는 풍화과정을 단축시키는 의미에서 인위적으로 암석이나 광물을 분쇄하여 토양에 살포한다는 것이다. 즉, EW 또는 ERW는 칼슘(Ca)과 마그네슘(Mg) 등이 함유되어 있는 규산염 광물 또는 산업부산물의 풍화가 빠르게 일어나도록 분쇄 후 토양에 살포하여 자연적인 과정을 통해 탄산염의 형태(예: CaCO3, MgCO3)로 이산화탄소(CO2)를 제거하는 기술이다(Stubbs et al., 2022; Renforth, 2019).
Beerling et al.(2020)은 국가별 농경지에 대한 현무암 (basalt)의 잠재적인 CDR은 최대 2.0 Gt CO2/yr으로 다른 CDR 기술(0.5~5 Gt CO2/yr)과 유사한 수준인 것으로 평가하였으며, Goll et al.(2021)은 전세계 내륙지역에 대한 현무암의 잠재적인 CDR은 2.5 Gt CO2/yr으로 평가하였다. 풍화촉진에 대한 연구가 본격적으로 이루어짐에 따라 2022년도부터 배출권거래 플랫폼(예: Puro.Earth, Isometric 등)에서는 풍화촉진 방법론을 자발적 탄소시장에 도입하였으며 2024년 11월에 개최된 COP 29에서는 2027년도에 IPCC에서 풍화촉진 방법론을 Tier 3 수준으로 등재할 것으로 예고하는 등 풍화촉진에 대한 국제적 움직임이 본격화되고 있는 실정이다.
특히, 최근 토양환경 내에서 기후변화 완화 및 토양 생산성 향상을 동시에 달성하기 위한 방안으로 풍화촉진이 각광받고 있다(Fig. 1). 전 세계적으로 다양한 기후대에서 EW 효과가 실증되었는데, 온대 지역에서는 Beerling et al.(2024)이 미국 옥수수-콩 윤작지에 현무암을 4년간 50 t/ha/yr 수준으로 처리하여 잠재적으로 10.5 t CO2/ha격리 및 수확량 12~16% 증가를 보고하였고, Vienne et al.(2022)은 벨기에 감자 재배지에서 99일간 0.77 t CO2/ha 격리를 확인하였으며, 열대 지역에서는 Holden et al.(2024)이 호주 사탕수수 재배지에서 5년간 0.13 t CO2/ha 격리를 보고하였으나 강산성 토양 (pH 5.8)으로 인한 제한이 관찰되었다. 또한 Guo et al.(2023)은 브라질에서 혼합 규산염 광물 100 t/ha 처리로 3년간 4.31 t CO2/ha 격리를 달성하였다. 그러나 국내에서는 토양에 EW를 적용하기 위한 연구사례는 부재한 실정이다.
본 총설논문은 풍화촉진의 탄소제거 원리와 풍화촉진이 환경에 미치는 영향을 종합하여 우리나라에서의 풍화촉진 적용의 필요성과 고려사항에 관한 기초자료를 제공하고자 한다.
|
Fig. 1 Overview of enhanced weathering mechanism in soil environment. |
풍화촉진에 이용되는 원료(feedstock)는 크게 두 가지로 분류할 수 있는데 첫 번째는 자연으로부터 유래하는 암석으로 현무암(basalt), 감람석(olivine), 규회석(wollastonite) 등이 있다(te Pas et al., 2023). 두 번째는 산업활동에 의해 발생하는 부산물/폐기물로 슬래그(slag), 폐콘크리트, 시멘트킬른더스트(cement kiln dust) 등이 있다(Renforth, 2019). 풍화촉진을 토양에 적용하기 위해서는 기본적으로 원료의 운반(transporting)부터 살포(spreading)의 과정이 수행되어야 하며, 원료에 따라서 채굴(mining), 분쇄(crushing) 등 추가적인 가공과정이 필요하다.
토양에 살포된 풍화촉진 원료는 세 단계를 거쳐 대기 중 이산화탄소를 제거하게 된다(Lefebvre et al., 2019). 첫 번째는 CO2의 수화단계로 대기 중 CO2가 강우와 반응하여 탄산 (H2CO3)의 형태로 토양에 유입되는 것이다(식 (1)). 두 번째는 풍화단계로 유입된 탄산이 원료와 반응하면서 풍화반응을 일으키고 원료(식 (2)에서는 규회석)로부터 염기성 양이온(예: Ca2+, Mg2+)이 용출된다(식 (2)). 마지막은 탄산염 광물화 단계로 원료로부터 용출된 염기성 양이온과 중탄산 이온 (HCO3-)이 반응하여 탄산염의 형태로 침전된다(식 (3)).

식 (1)~식 (3)에서 알 수 있듯이 수화, 풍화반응, 무기화가 CDR의 핵심적인 과정이다. 그리고 수화단계는 기후, 풍화반응은 입자크기와 pH, 무기화는 탄산염의 침전이 발생할 수 있는 적절한 수준의 pH 환경이 대표적인 관련 인자라 할 수 있다.
앞서 설명한 바와 같이 풍화촉진에 영향을 줄 수 있는 주요 인자들은 기후, 입자크기, pH 및 생물 등이 있으며, 이와 관련한 내용은 다음과 같다.
3.1. 기후
기후는 풍화작용에 영향을 주는 주요 요인으로 온도와 강수량이 대표적이다. 일반적으로 온도가 높아질수록 풍화속도(weathering rate, Wr)가 빨라지는 경향을 보인다 (Deng et al., 2022). 풍화속도는 단위 표면적당 단위 시간당 반응하는 광물의 몰수를 의미하며 암석-물 상호작용의 반응성을 정량화한 것으로(Brantley et al., 2023), 풍화속도가 빠를수록 탄소제거 효율이 높은 것으로 볼 수 있다. 온도가 풍화속도에 미치는 영향은 아레니우스 방정식 (Arrhenius equation)을 통해 나타낼 수 있다(Casey and Sposito, 1992).

여기서 A는 빈도인자 (pre-exponential factor, mol/m2/s), Ea는 활성화 에너지(kJ/mol), R은 기체상수(kJ/mol/K), T는 절대온도 (K)를 의미한다.
규산염 광물의 풍화반응에서 활성화 에너지는 광물 표면의 금속-산소 결합을 끊고 수화된 양이온과 규산을 생성하는 과정에 필요한 에너지를 나타낸다(Brantley, 2008). 활성화 에너지 값이 클수록 온도 변화에 대한 반응속도의 민감도가 증가하며 평균적으로 55 kJ/mol 이지만 광물의 종류에 따라 다르게 나타난다(Heømanská et al., 2023). 예를 들어, 석회암(micritic limestone, spiritic limestone, dolomite)의 경우 온도가 5oC에서 25oC로 상승함에 따라 1.8배에서 4.5배(Kirstein et al., 2016), 현무암은 5oC에서 75oC로 상승함에 따라 22배(Gudbrandsson et al., 2011), 감람석은 온도가 4oC에서 19oC로 상승함에 따라 20배(Pogge von Strandmann et al., 2022; Renforth et al., 2015)로 풍화속도가 빨라지는 것으로 보고되었다(Table 1).
강수의 영향은 단순히 수분 공급을 넘어서, 대기 중 CO2가 물에 용해되어 형성되는 탄산의 양과 직접적으로 연관되어 있어(Hartmann et al., 2013), 원료와의 반응용량을 결정하는 핵심 요소이다. 토양 내 CO2 분압 (pCO2)은 대기보다 10~100배 높아(Ma et al., 2013), 더 많은 탄산이 형성되는데 이러한 탄산의 양은 H+ 이온의 공급원으로 작용하여 원료의 풍화속도에 간접적으로 영향을 미친다(Zhao et al., 2022).
Cipolla et al.(2021)은 연 평균 강수량(mean annual precipitation, MAP)에 따른 감람석의 풍화속도를 모의한 결과 MAP가 920 mm와 3,000 mm일 때 각각 4.610-13 mol/m2/s와 4.310-12 mol/m2/s로 약 10배 차이 나는 것으로 보고하였다. MAP가 유사할 지라도 강우양상에 따라서 풍화속도가 달라질 수 있는데(Cipolla et al., 2022), 집중 강우는 일시적으로 토양용액의 포화도를 낮춰 일시적인 원료의 높은 풍화속도를 보이지만 건조 기간 동안 토양용액의 포화도가 증가하여 원료의 풍화속도가 감소하게 된다 (Kronnäs et al., 2023). 반면 지속적인 강우는 토양용액의 낮은 포화도를 유지하여 원료의 풍화를 촉진한다. 이는 CO2 격리량의 시간적 변동성을 가져온다.
이러한 기후 조건을 고려할 때, 습하고 따뜻한 기후에 위치한 토양에 원료를 처리하는 것이 건조하고 차가운 기후에 위치한 토양 보다 풍화반응이 더 빠르게 일어남을 시사한다. 우리나라의 신기후평년값 (1991~2020년)에 따른 MAP는 1,305.8 mm이고 연 평균 기온(mean annual temperature, MAT)은 12.8oC로 온대기후(temperate climate)에 속하여 풍화촉진을 적용하기에 충분한 기후 조건에 해당한다(Calabrese et al., 2022). 그러나 국내 강수의 50% 이상이 장마철 (6-7월)에 집중되어 있어(Cho and Choi, 2014), 계절에 따라 풍화반응의 변동성이 클 것으로 보인다. 특히 여름철 집중강우 시기에는 일시적으로 높은 풍화속도를 보이나, 가을~봄철 건조 기간에는 풍화속도가 크게 감소할 수 있을 것으로 예상되므로 국내에 풍화촉진을 적용할 경우 강우가 집중되는 시기 이전에 원료를 처리하는 등 퐁화속도를 극대화하는 전략이 필요하다.
3.2. 입자크기
원료의 입자크기는 원료가 풍화반응을 할 수 있는 표면적과 연관이 있고 분쇄 등의 공정을 통해 인위적으로 조절할 수 있는 중요한 요소이다. 일반적으로 입자크기와 비표면적(specific surface area, SSA)은 반비례하는 관계를 보이는데(Brantley and Mellott, 2000, Fig. 2), 입자크기가 감소하면 입자 표면의 결함(defects), 모서리(edges), 단차 (steps) 등 반응성이 높은 구조적 사이트의 비율이 증가하기 때문이다(Beckingham et al., 2016; Brantley, 2008). 이러한 활성 사이트는 평평한 표면(terrace)보다 수백 배 높은 반응성을 가지므로, 입자 미세화는 단순한 표면적 증가 이상의 효과를 나타낸다.
하지만 입자크기를 조절하기 위한 공정에는 에너지 비용이 투입되며 이는 온실가스의 배출로 이어지는데, Li et al.(2024)은 300 μm 이하의 입자크기가 80%를 차지(P80)하는 원료를 P80 ⇒ 10 μm, P80 ⇒ 50 μm, P80 ⇒ 100 μm 수준으로 분쇄할 때 각각 76.90 kWh/trock, 24.90 kWh/trock, 12.57 kWh/trock의 에너지 비용이 소요되고, 이를 탄소발자국으로 나타내면 P80 ⇒ 10 μm은 0.18~71.36 kg CO2/trock, P80 ⇒ 50 μm은 0.06~23.1 kg CO2/trock, P80 ⇒ 100 μm은 0.03~11.67 kg CO2/trock으로 보고하였다. Strefler et al.(2018)은 입자크기, 에너지 투입 및 원료의 용해 사이의 관계를 종합적으로 분석하였고(Fig. 3), 암석 1 ton을 20 μm로 분쇄하는데 70 $ 이하의 경제적 비용이 소요되고 이에 따른 탄소제거 비용은 암석에 따라 60~200 $/t CO2인 것으로 평가하였다. 이는 DACCS (430~570 $/t CO2) 보다는 낮으나 조림 (24 $/t CO2)이나 BECCS (36 $/t CO2) 보다 높은 수준이다. 다만 풍화촉진의 영양분 공급이나 토양개량 등과 같은 부가적인 효과를 고려하면 보다 경쟁력이 올라갈 것이라 평가하였다. 풍화촉진에 의한 탄소제거 효과를 극대화하기 위해서는 에너지 비용과 경제성을 고려하여 최적의 입자크기를 선정할 필요가 있다.
3.3. pH
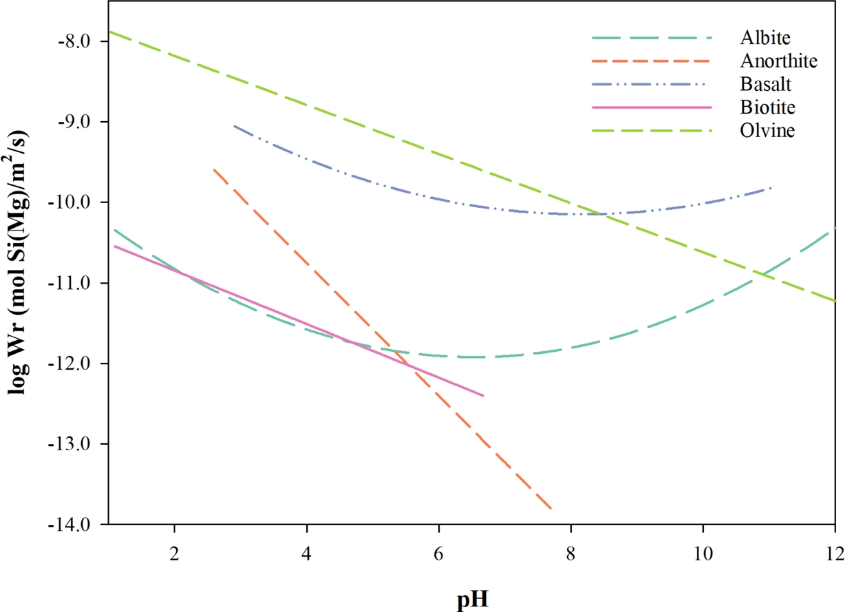
pH는 규산염 광물 등 원료의 풍화속도에 직접적인 영향을 미치며, 이는 풍화촉진의 탄소격리 효율성을 결정하는 핵심 요인이라 할 수 있다. 원료의 pH에 풍화속도 차이는 각 광물의 구조적, 화학적 특성에 따라 서로 다른 반응 메커니즘을 따르는데 주로 산성 조건(pH < 6)에서는 양성자 (H+)가 광물 표면의 금속-산소 결합을 공격하여 풍화를 촉진시키는 반면, 염기성 조건(pH > 8)에서는 수산화이온 (OH-)이 규소-산소 결합을 약화시켜 풍화를 가속화시킨다(Brantley, 2008). Fig. 4는 pH에 따른 광물별 풍화속도를 나타낸 것으로 산성 토양에서는 감람석(olvine)이, 중성-약알칼리성 토양에서는 감람석 또는 현무암(basalt)이 효과적인 풍화속도를 나타낼 것으로 예상하는 등 광물 선택의 중요한 정보를 제공한다(Brantley, 2008).
원료의 풍화를 통해 용출된 양이온 (예: Ca2+, Mg2+)은 용액 내 탄산염 화학종(species)과 결합하여 탄산염 광물 (예: CaCO3, MgCO3)을 형성하는데, 이 과정 역시 pH에 강하게 영향을 받는다. 탄산염 침전 반응은 용액 내 탄산염 화학종의 분포에 영향을 받으며, 이는 두 개의 평형 해리 상수(pKa1 = 6.35, pKa2 = 10.33)에 의해 결정된다. pH < 6.35에서는 H2CO3가, pH 6.35-10.33에서는 HCO3-가, pH > 10.33에서는 CO32-가 우세하게 존재한다(Pedersen et al., 2013). 특히 CO32-는 Ca2+ 또는 Mg2+와 직접적으로 결합하여 안정한 탄산염 광물을 형성하기 때문에 pH가 10.33에 근접할수록 침전반응이 잘 일어난다고 할 수 있다. 그러나 실제 국내 토양 환경에서는 이러한 이론적 최적 조건과 상당한 차이가 있다. 국내 농경지 토양의 경우 pH가 대부분 5.5~8.0 범위에 분포하며 논과 밭은 평균 pH 5.5~6.5 수준이다 (RDA, 2021). 대부분의 농작물은 pH 6.5~7.0 범위에서 최적 생장을 보이기 때문에 pH 7.5 이상의 석회질 토양은 EW 적용에 다소 한계가 있을 수 있다(Levy et al., 2024).
국내 토양의 pH 범위 (5.5~8.0)를 고려할 때, pH 10 이상에서 일어나는 탄산염 광물 침전보다는 중탄산염(HCO3-) 형태의 무기탄소 저장이 주된 메커니즘이 될 가능성이 높다. 토양 pH 5.0~7.0 범위에서 규산염 광물의 풍화에 의해 생성된 중탄산염이 토양용액 및 지하수를 통해 하천으로 이동하며, 높은 토양 pH (> 7.5)에서만 일부 2차 탄산염(secondary inorganic carbon)으로 침전된다(Haque et al., 2023). te Pas et al.(2023)의 연구에서도 규회석과 감람석 처리 시 토양 pH가 최대 8.0까지 상승하였으나, 이는 실내에서 상대적으로 많은 양의 규산염 광물이 처리되었고 식물을 식재하지 않는 조건에서의 결과이다. 실제 토양에서는 식물 뿌리의 유기산 생성이 pH를 낮추므로 (Haque et al., 2019), pH 8 이상으로 상승하는 경우는 제한적일 것으로 보인다. 따라서 국내 토양 조건에서는 중탄산염 형태의 탄소 저장을 주 메커니즘으로 고려하되, 장기적으로는 일부 탄산염 침전도 함께 발생하는 복합 메커니즘으로 이해하는 것이 현실적이다.
3.4. 생물
풍화촉진 과정에서 생물체는 물리∙화학적으로 원료의 풍화를 촉진하는 역할을 수행한다. 식물의 경우 뿌리가 원료 입자 사이로 침투하여 물리적으로 균열을 확대시켜 표면적을 증가시키면서 새로운 반응 표면이 노출되고 광물 입자의 파편화가 유도되어 반응 가능한 표면적이 증가한다(Calvaruso et al., 2006).화학적으로는 다양한 유기산을 분비하거나 뿌리 호흡과정에서 생성되는 CO2가 토양 pH를 낮추어 화학적으로 풍화반응을 촉진한다(Wild et al., 2022). 식물 뿌리는 근권(rhizosphere) pH를 1~2 단위 감소시키는데, 이는 (1) 뿌리 호흡으로 생성된 CO2가 토양용액과 반응하여 H2CO3의 형성, (2) 뿌리로부터 방출되는 유기산, (3) 양이온 (Ca2+, Mg2+, K+ 등) 흡수 시 H+ 방출하기 때문이다 (Calvaruso et al., 2006).
미생물은 생물막 형성을 통하여 국소적인 환경을 조절하거나, 유기산 분비, 킬레이터 생산을 통하여 풍화를 촉진한다(Wild et al., 2022). 최근 Timmermann et al.(2025)은 배양실험과 메소코즘 실험을 통해 토양에 Bacillus subtillis strain MP1 처리 시 풍화속도가 6배, 토양 무기탄소 함량이 20% 증가하였고, 콩 종자에 접종하여 재배한 결과 대조구 보다 무기태 탄소가 연간 2 ton/ha 더 많이 축적되는 것으로 보고하였다. 이는 실제 토양환경에 미생물을 활용한 풍화촉진의 극대화를 유도할 수 있음을 시사한다.
식물과 미생물의 상호작용은 광물의 풍화에 대한 상승효과(synergy effect)를 나타내는데(Ribeiro et al., 2020, Fig. 5), Calvaruso et al.(2006)은 소나무(Pinus sylvestris)에 Burkholderia glathei PLM1(12)를 접종한 결과, 소나무의 생체량이 40% 증가하고 흑운모 (biotite)의 Mg 용출량이 1.4배 증가하는 것으로 보고하였다. 이는 (1) 뿌리 성장이 흑운모를 파편화하여 미생물이 접근 가능한 표면적을 증가시키고, (2) 뿌리 삼출물이 미생물의 유기산 생산 기질을 제공하며, (3) 미생물의 식물호르몬 생산이 뿌리 발달을 촉진하여 광물 접촉을 증가시키기 때문이다.
이외에도 탄산무수화효소(carbonic anhydrase)를 활용한 풍화촉진의 극대화 방안에 대한 다양한 연구가 진행되어 왔는데, CA는 CO2 + H2O ↔ HCO3- + H+ 반응을 촉매하여 pH를 낮추고 풍화를 가속화할 수 있다(Xiao et al., 2015). 현재 영국에서는 탄산무수화효소와 현무암을 이용하여 대규모 현장 실증시험 수행 중에 있으나(Peplow, 2024), 여전히 미생물은 환경 조건(pH, 온도, 수분 등)에 따라 효과 변동이 크고, 장기 지속성이 불확실하며, 토착 미생물과의 경쟁 등에 대한 잠재적인 부정적 영향에 대한 연구가 필요하다. 따라서 향후 국내 토착 미생물의 발굴 및 풍화 능력 평가, 장기 실증시험 등을 통한 현장 적용가능성을 평가하고 지속가능한 적용 방안을 개발하는 것이 필요하다.
|
Fig. 2 Specific surface area as function of particle size in silicate minerals. |
|
Fig. 3 Relationship between the mineral dissolution rate and grain size or the required energy for grinding (Stefler et al., 2018). Used under Creative Commons Attribution License (CC-BY). |
|
Fig. 4 Weathering rates of silicates as a function of pH at 25oC. |
|
Fig. 5 Mechanisms related to silicate mineral weathering by microorganisms (Ribeiro et al., 2020). Used under Creative Commons Attribution License (CC-BY). |
|
Table 1 Weathering rate of feedstocks affected by temperature |
1V: volume aqueous solution (L), m: mass of mineral (g), ∆C and ∆t: change in time (seconds) and concentration of Si (mol/L), β: specific surface area of the mineral (m2/g) from Kirstein et al. (2016) |
토양에 풍화촉진을 적용할 경우 탄소격리 효과뿐만 아니라 토양 물리·화학·생물학적 특성 그리고 작물 생산량에 유익한 영향을 미친다.
4.1. 토양탄소격리
2010년대 초반부터 현재까지 EW를 통한 토양탄소격리에 관한 연구가 확대되었다. 초기 모델링 연구들은 높은 기온과 강수량, 낮은 토양 pH를 특징으로 하는 열대 지역이 EW를 적용하기에 최적일 것으로 예측하였다(Köhler et al., 2010; Taylor et al., 2016). Taylor et al.(2016)은 전지구 기후 모델을 이용하여 원료의 처리량에 따라 2100년까지 대기 중 CO2를 30~300 ppm 감소시킬 수 있을 것으로 전망하였다. 이후 다양한 실험규모와 현장 조건에서 실증 연구가 수행되었으며, 그 결과는 초기 모델링의 가정과는 다르게 나타났다(Table 2).
Holden et al.(2024)의 열대 산성 Ultisol(pH 5.8)과 Beerling et al.(2024)의 온대 중성 토양(pH 6.5~7.5) 간의 토양탄소격리 효율에서 400배의 차이는 토양 pH가 EW에 의한 토양탄소격리 효율을 결정하는 중요한 토양학적 영향 인자임을 보여준다(Haque et al. 2023). pH < 6.0인 산성토양에서는 질산(HNO3), 유기산, 직접적인 H+ 교환 반응이 원료의 풍화를 주도하는 반면, pH 6.5~7.5의 중성에 가까운 토양에서는 탄산이 주요 풍화 메커니즘으로 작용한다(Hartmann et al., 2013). 이는 강산성 토양에서는 풍화촉진에 의한 탄소격리 효과가 제한적일 수 있다는 점을 시사한다.
4.2. 토양특성
EW는 자연적 풍화 과정을 가속화하여 탄소격리를 달성함과 동시에 토양특성을 개선할 수 있는 기술로 널리 인식되어 왔다. 현무암과 같은 규산염의 처리는 토양 pH를 0.2~0.5 수준 증가시키는 것으로 확인되었으며(Holden et al., 2024; Skove et al., 2024), Beerling et al.(2024)은 토양 pH 상승이 몰리브덴(Mo)의 이동성을 증가시켜 식물의 질소이용효율을 향상시켰음을 보고하였다. 그러나 pH 상승에 따른 작물 생장 최적화와 탄산염 침전 효율 간에 근본적인 상충관계(trade-off)가 존재한다(3.3절 참고). 탄산염 침전은 이론적으로 pH 7.5 이상에서 높은 효율을 보이지만, 이 경우에 철(Fe), 아연(Zn), 망간(Mn) 등 미량원소의 가용성이 감소하여, 농경지의 경우 작물 생산성 저하로 이어질 수 있다(Lindsay and Norvell, 1978). 따라서, 탄산염 침전을 달성하기는 어려우나 중탄산염의 형태로 탄소격리를 달성하면서 식물생육에 적정 범위인 pH 6.3~7.0 수준이 유지되는 토양에 적용하는 것이 현실적일 것으로 보인다.
현장실증 연구에서 관측된 화학적 영향 중 주목할 만한 결과는 영양소의 정량적 방출이다. Beerling et al.(2024)은 50 t/ha/yr 처리 시 P와 K가 7 kg/ha/yr, 23 kg/ha/yr가 용출되는 것으로 확인하였다. 이는 미국 중서부에서 옥수수-대두 윤작에 사용되는 P 및 K 비료의 20~40%를 대체할 수 있는 수준으로 EW가 실질적인 비료 절감 효과를 제공할 수 있음을 시사하였다. 그러나 이와 동시에 중금속 용출 위험이 존재할 수 있다. Vienne et al.(2022)의 mesocosm 실험에서 현무암 50 t/ha 처리 시 토양 니켈(Ni) 농도가 41% 증가하였으며, te Pas et al.(2023)은 감람석 함유 광물에서 Ni 용출 위험이 훨씬 크다고 보고하였다. 따라서 원료를 선정함에 있어서 단순히 pH 개선, 영양소 방출뿐만 아니라 중금속 함량을 동시에 고려할 필요가 있다.
EW는 토양 인(P) 가용성을 증진시키는 것으로 확인되었는데, Bi et al.(2024)은 규회석을 처리하여 2년간 포장시험을 수행한 결과 인 순환 관련 유전자의 발현을 크게 증가시키는 것으로 보고하였다. 특히, 무기인 용출 관련 유전자(gcd, ppa, ppx)와 유기인 무기화 관련 유전자 (phoADN, phnAPHLFXIM)의 풍부도가 유의하게 높아졌으며, 이는 토양 미생물의 인 순환 능력을 향상시켰다. 효소 활성 증진도 EW의 중요한 생물학적 이점이다. Moscatelli et al.(2024)은 현무암과 미생물의 복합 처리가 탄소, 질소, 인, 황 순환 효소의 활성을 증진시키고 미생물 생체량을 증대시켰음을 보였다.
Niron et al.(2024)은 현무암과 Bacillus subtilis를 복합 처리 시 산화물-결합 및 유기물-결합 분획(fraction)으로 Mg, Fe 등이 이동하여 토양유기물 안정화 효과가 있을 수 있음을 보고하였으나, Lei et al.(2025)은 현무암 처리 시 SOC 함량이 최대 17% 감소하였으며, 이는 (i) pH 상승에 따른 SOM 가용화 및 분해 가속, (ii) Ca2+/Mg2+에 의한 프라이밍 효과, (iii) 식물 생장 증가로 인한 근권호흡 증가가 복합적으로 작용한 결과로 해석된다(Fang et al., 2023; Lei et al., 2025). 따라서 EW를 통한 미생물 활성 증진은 동시에 예상치 못한 유기물 분해를 가속화하여 온실가스 방출을 증가시킬 수 있음을 시사한다. 하지만 현재까지 EW가 토양환경에 미치는 영향이 제한적으로 논의가 되었기 때문에 향후 다방면에서의 연구를 통해 다방면에서 논의가 수행될 필요가 있다.
4.3. 식물의 질과 생산성
풍화촉진은 작물의 생산성이나 환경 스트레스에 대한 내성을 증진시키는 효과가 있다. Hqaue et al.(2020)은 규회석을 10 kg/m2 처리 시 콩 생산량이 2배 증가하였고, 알팔파의 지상부와 지하부의 생체량이 증가하는 것으로 보고하였다. Guo et al.(2023)은 혼합 규산염 광물을 100 t/ha 처리한 결과 작물 생산량은 7%, 생체량은 11% 증가하였다. Jariwala et al.(2022)은 다양한 작물을 대상으로 규회석 스카른(wollastonite skarn)을 처리한 결과 콩 생산량은 41%, 상추 잎 면적이 34%, 호밀 생체량이 46% 증가하였고 상추의 경우 수분 손실이 47% 감소하는 것으로 보고하면서 규산염 광물로부터 용출되는 Si를 상추가 흡수하여 식물 세포벽을 강화하고 수분 손실을 억제하는 것이라 하였다. Si는 대부분의 작물에 있어서 필수 영양소는 아니지만 병해충에 대한 저항성 증진, 건조 및 염 스트레스 완화, 양분 흡수 증진 등 유익한 효과를 가져오는 것으로 알려져 있다(Guntzer et al., 2012).
재배방식에 따라 생산량이 달라질 수 있는데, Skov et al.(2024)은 동일한 양의 현무암을 처리하고 두 가지 재배방식(direct drill, ploughed)을 이용하여 봄 귀리의 생산량을 비교한 결과 direct drill 방식에서는 20.5%, ploughed 방식에서는 9.3% 증가하는 것으로 보고하였다. 이처럼 풍화촉진에 의한 작물 생산량 증가와 환경 스트레스에 대한 내성 강화는 규산염 광물이 풍화되면서 방출되는 Si, Ca, Mg 등의 양분과 토양 pH 개선 효과 등에 의한 것으로 보인다.
|
Table 2 Synthesis of enhanced weathering studies on soil carbon sequestration by soil pH and climate conditions |
풍화촉진은 탄소격리와 더불어 작물 품질 및 생산성 증가, 토양특성 개선 등 다양한 환경적 편익을 제공하는 유망한 기후변화 대응 기술이다. 그러나 풍화촉진에 의한 다양한 효과는 원료의 특성, 처리량, 환경, 토양관리방안 등에 따라 차이가 크기 때문에 지역별 토양 pH, 기후조건, 주요 재배작물에 따른 적정 처리량 등에 대한 최적화 연구가 필요하다. 원료의 경우 국내에서 활용할 수 있는 칼슘, 마그네슘이 풍부한 자연광물 자원이 한정적이므로, 이를 대체할 수 있는 원료 발굴도 함께 이루어질 필요가 있다. 또한, IPCC에서 풍화촉진을 Tier 3 수준의 가이드라인을 등재할 것으로 예상됨에 따라 우리나라 실정에 맞는 풍화촉진 모델의 개발을 위한 선제적 대응이 필요할 것이다.
본 연구는 농촌진흥청 공동연구사업(과제번호: RS-2023-00232079)의 지원에 의해 이루어진 것임
This Article2025; 30(6): 1-11
Published on Dec 31, 2025
Services
Correspondence toDepartment of Biological Environment, Kangwon National University, Chuncheon 24341, Korea