
Gyu Hyun Han1 and Sung-Wook Jeen1,2*
1Department of Environment and Energy, Jeonbuk National University
2Department of Earth and Environmental Sciences & The Earth and Environmental Science System Research Center, Jeonbuk National University
한규현1ㆍ진성욱1,2*
1전북대학교 환경에너지융합학과, 2전북대학교 지구환경과학과 & 지구환경시스템 연구소
This article is an open access article distributed under the terms of the Creative Commons Attribution Non-Commercial License (http://creativecommons.org/licenses/by-nc/4.0) which permits unrestricted non-commercial use, distribution, and reproduction in any medium, provided the original work is properly cited.
This study conducted two column experiments simulating organic matter-based permeable reactive barriers (PRBs) for nitrate removal from groundwater. The columns used woodchips as the reactive material: one had been operated for approximately nine years (Old column), and the other was newly constructed for this study (New column). Nitrate removal performance was evaluated by comparing denitrification rates and assessing isotopic fractionation characteristics (δ15N-NO3⁻, δ18O-NO3⁻, δ2H-H2O, and δ18O-H2O). Changes in pH, alkalinity, Eh, dissolved oxygen (DO), and N2 gas production suggested that geochemical conditions were favorable for denitrification. Calculation of denitrification rates (New: 1.3 mmol L⁻¹ day⁻¹; Old: 0.08 mmol L⁻¹ day⁻¹) indicated that reactivity was retained even after long-term operation, demonstrating the long-term feasibility of woodchips for PRBs. As nitrate concentrations decreased, δ15N-NO3⁻ and δ18O-NO3⁻ values increased from 8.27‰ to 27.13‰ and 19.81‰ to 39.08‰, respectively, with a 1:1 enrichment factor ratio typical of denitrification. On the other hand, no significant δ¹⁸O-H2O changes were observed. The findings from this study may support future research on isotopic fractionation during nitrogen transformations and its linkage to hydrological processes. The results may also serve as a quantitative reference for field-scale PRB design and performance assessment.
Keywords: Nitrate, Column test, Permeable reactive barrier, Denitrification rate, Isotopic fractionation
질산염(NO3-)은 지하수에서 흔히 발견되는 오염물질 중 하나로, 주로 비료, 가축 배설물, 생활하수, 정화조 등에서 기원한다(Sahoo et al., 2016; Stylianoudaki et al., 2022). 질산염이 지표수로 유입될 경우, 식물성 플랑크톤의 증식을 촉진하여 부영양화를 유발하고, 이는 저산소 및 무산소 상태를 초래하여 생물다양성 감소와 유해 조류 대량 발생을 야기한다(Craswell, 2021). 음용수 또는 식품을 통해 질산염을 섭취할 경우, 체내에서 니트로화를 통해 N-니트로소 화합물(N-nitroso compounds; NOC)의 전구체가 되어 암, 선천적 기형 또는 건강상의 부작용을 초래할 수 있다(Ward et al., 2018). 따라서 지하수 내 질산염 오염 방지 및 제거가 중요한 문제로 대두되고 있다(rajbek et al., 2022).
지하수 내 질산염을 처리하기 위한 방법 중 하나로서 투과성 반응벽(permeable reactive barrier; PRB) 기법이 이용되고 있다. 투과성 반응벽이란 반응성 물질을 지하에 배치하여 오염운(plume)을 차단하고, 지하수 흐름에 따라 반응성 물질을 통과하면서 오염물질을 정화하는 기술을 말한다. 투과성 반응벽은 지상에서 장비를 이용해 정화하는 적극적인 정화법과는 다르게, 자연적인 지하수 흐름 하에서 정화가 이루어지므로 지하 환경의 변화를 최소화할 수 있다는 장점을 지닌다. 또한 초기 비용 외에 드는 운영 비용이 낮으며, 오염된 부지의 지표면을 다른 용도로 활용이 가능하다는 경제적 이점도 제공한다(Li and Liu, 2022; Obiri-Nyarko et al., 2014).
Fig. 1은 투과성 반응벽의 모식도로 대수층의 지하수 흐름 경로상에 반응성 매질을 매립하면 지하수 내 오염물질은 자연적인 수두 구배를 따라 매질을 통과하면서 반응하고 처리된다. 이 과정에서 오염물질은 흡착, 산화-환원, 생물학적 반응 등을 통해 무해한 화합물로 변환되거나 반응성 매질 내에 고정되어 정화된다(Skinner and Schutte, 2006). 특히 생물학적 탈질화 기반 투과성 반응벽은 유기물을 반응물질로 사용하여 영양원을 공급하거나 미생물을 배양하여 탈질화를 촉진하는 방식으로 지하수 내 질산염을 제거한다. 이러한 방식은 다른 반응 기작에 비해 비용이 낮고 효율이 높으며, 무엇보다 친환경적이라는 평가를 받고 있다(Volokita et al., 1996).
탈질화(denitrification)는 미생물이 질산염을 질소 기체로 환원하는 과정으로, 식 (1)과 같은 반응식을 따른다.

이 과정에서 탈질 박테리아는 전자공여체로 유기탄소 화합물(CH2O)을 필요로 한다. 동시에 탈질 박테리아는 질산염을 전자수용체로 활용하며, 질산염은 아질산염(NO2-)으로 변환된 후, 최종적으로 질소(N2) 기체로 환원된다(식 2).
투과성 반응벽은 반응물질의 정화 능력에 따라 벽체의 두께가 결정되는데, 이는 설계 및 운용 비용에 직접적인 영향을 미치기 때문에 적절한 반응물질을 선정하는 것이 중요하다. 이때 적절한 반응물질의 조건은 오염물에 대한 반응성을 장기간 유지할 수 있어야 하며, 반응 과정에서 생성되는 물질에 의한 2차 오염이 없어야 한다. 또한 경제적 유용성을 위해 저렴하고 쉽게 확보 가능한 재료를 사용해야 한다(Bilardi et al., 2023; Li and Liu, 2022). 따라서 투과성 반응벽의 설계에서는 실험실 규모의 타당성 평가가 필수적이며, 적절한 반응물질을 선정하고 해당 물질의 오염물 제거 능력을 평가하기 위하여 주로 배치(batch) 실험 또는 칼럼(column) 실험이 수행된다(Gavaskar, 1999).
반응물질로서 사용되는 유기 탄소원은 생물학적 탈질화의 주요 결정 요인으로 작용하기 때문에 적절한 유기 탄소원을 선정하는 연구가 다수 수행되고 있다. 예로서, Liu et al.(2020)은 옥수숫대(corncob)를 반응물질로 사용하여 처리된 물이 중국의 질산성 질소 음용수 기준을 충족할 수 있음을 확인하였으며, Mollamohammada et al.(2020)은 미세조류를 활용하여 지하수 내 질산염에 대해 약 90% 수준의 제거 효율을 보여주었다. 최근의 투과성 반응벽 연구는 영가철과 같은 재료의 반응 원리에 집중하던 과거와 달리, 친환경 및 저비용 재료를 사용하여 지속 가능성과 비용 효율성에 초점을 두는 방향으로 변화하고 있다(Sánchez Hidalgo et al., 2025). 하지만 이러한 재료를 활용한 연구들은 대부분 반응 초기의 질산염 제거 성능 평가에 집중되어 있다. 따라서 장기간 운용 시 탈질 속도에 따른 반응성 변화를 파악한다면 투과성 반응벽의 수명 예측과 그에 따른 경제적 운용 가능성을 제시할 수 있을 것이다.
한편 질소 화합물은 질산화 및 탈질화와 같은 변환 과정을 통해 농도가 변하고, 그 과정에서 동위원소 분별 과정(isotopic fractionation)을 수반하게 된다(Kendall, 1998). 이러한 분별 과정으로 인한 동위원소 조성 변화는 질산염의 생지화학적 변환 과정을 해석하는데 중요한 지표로 활용된다. 그러나 질소 오염원 간의 동위원소 값이 유사하거나 지속적인 분별 작용에 따른 불확실성으로 인해 질산염 동위원소 만으로는 정확한 식별에 어려움이 존재한다(Curt et al., 2004). 따라서 최근에는 질산염 동위원소(δ15N-NO3- 및 δ18O-NO3-)와 함께 다른 안정 동위원소를 결합하여 질산염 오염원과 그 혼합 과정에 대한 추가 정보를 얻을 수 있는 접근법이 제시되고 있다(Jung et al., 2021). 특히 물 안정 동위원소(δ2H-H2O 및 δ18O-H2O)는 수문 시스템에서 물의 기원, 지하수-지표수 혼합에 대한 중요한 정보를 제공한다(Huang et al., 2018). 이때 질산염 동위원소와 물 안정 동위원소에 대한 해석을 결합한다면 수문 경로에 따른 질소의 분포와 기원을 추적할 수 있으며, 다양한 수자원 간의 이동 및 변환 과정을 이해할 수 있다(Le et al., 2023). 그러나 질소 화합물의 변환 과정에 수반된 물 안정 동위원소 변화에 대한 연구는 지금까지 거의 수행되지 않았다.
본 연구에서는 칼럼 실험을 통해 유기물 기반 투과성 반응벽의 질산염 제거 성능과 장기 운영에 따른 반응성 변화를 평가하고, 질산염 변환 과정에 수반되는 질산염 및 물 안정 동위원소 조성 변화를 파악하고자 하였다. 연구에서는 우드칩을 반응물질로 사용하여 질산염 제거 효율을 평가하고, 약 9년간 장기 운영 중인 칼럼의 탈질 반응 속도와 비교하였다. 아울러 칼럼 내 질산염 농도 변화에 따른 질산염 동위원소 분별 정도를 파악하고, 물 안정 동위원소와 결합하여 질산염 변환 과정에 따른 물 안정 동위원소 조성 변화를 이해하고자 하였다. 이러한 접근은 질소 순환과 물 순환의 연결고리에서 질소 화합물 변환이 차지하는 역할을 규명하는데 기여할 수 있을 것으로 기대된다.
|
Fig. 1 A concept of a permeable reactive barrier (PRB). |
2.1. 칼럼
본 연구에서는 2개의 칼럼을 이용하여 탈질과정을 평가하였다. 첫 번째 칼럼은 2016년부터 운영 중인 칼럼(이후부터는 Old 칼럼이라고 기술)으로, 유기물 기반 투과성 반응벽의 장기 운용 가능성을 평가하고자 하였다. 두 번째 칼럼은 2024년부터 운영을 시작한 칼럼(이후부터는 New 칼럼이라고 기술)으로, 장기 운영 칼럼과의 탈질 반응 속도를 비교하고, 질산염 제거에 수반되는 동위원소 분별 과정을 이해하고자 하였다.
두 칼럼은 모두 높이 40 cm, 반지름 3.81 cm인 아크릴 재질의 원통형 모양이며, 내부에 자갈과 우드칩을 혼합하여 반응 물질로 사용하였다(Fig. 2). 칼럼 유입수(influent)는 질산 소듐(NaNO3 Sigma-ALDRICH, USA)으로 제조하였으며, Old 칼럼은 NO3-N 기준 10 mg L-1 (NO3 기준 44.3 mg L-1), New 칼럼은 NO3-N 기준 20 mg L-1 (NO3 기준 88.6 mg L-1)으로 농도를 설정하였다. 유입수는 연동펌프(ISM834C; ISMATEC, USA)를 통해 일정한 유속(Old: 391 mL day-1, New: 1,209 mL day-1)으로 공급되도록 설정하였다. 이때 유입수는 상향 흐름을 적용하여 중력의 영향을 배제하였으며, 유출수는 칼럼 최상부에 연결된 폐수통(waste)에 모이도록 구성하였다. 또한 두 칼럼 상하단에 각각 1.5 cm 두께의 모래층(white sand)을 배치하여 유입수가 칼럼 내부로 균등하게 분산되고 1차원적인 흐름을 유지하도록 하였다. 칼럼 내부에서의 시공간적 변화를 파악하기 위해 프로파일 샘플링(profile sampling)용 포트를 측면에 설치하였다. 반응 초기시간에 화학적 변화가 클 것으로 예상하여 처음 6개(1-6번 포트)는 2.5 cm 간격으로, 나머지 4개(7-10번 포트)는 5 cm 간격으로 배치하였다. 각 포트에는 칼럼 내부 물질의 유실 방지를 위해 유리 섬유를 채운 16G 바늘을 함께 설치하였다. 추가로 Old 칼럼에는 유출구에 물을 채운 뷰렛을 역방향으로 설치하여 기체 발생량 측정 장치로 사용하였다(Fig. 3). 칼럼 내부에서 기체가 발생하면 부력에 의해 뷰렛의 물이 폐수통으로 배출되며, 생성된 기체량에 따라 뷰렛 내 수위가 감소한다. 이때 발생한 기체는 탈질과정의 최종 산물인 N2 기체로 추정하였으며(Ko et al., 2021), 일정 시간 동안 감소한 물의 부피를 측정하여 칼럼의 기체 발생 속도를 계산하였다.
2.2. 반응 물질
두 칼럼은 모두 유기 탄소원으로서 우드칩을 사용하였다. Old 칼럼은 참나무 재원의 우드칩(Farmsco, Korea)을, New 칼럼은 소나무 재원의 우드칩(바우농자재, Korea)을 사용하였다. 재료 크기에 따른 칼럼 내 불균질성 흐름을 방지하기 위해 우드칩을 크기별(소형 우드칩: 1-4 mm, 대형 우드칩: 4-9.5 mm)로 절단 및 채질하였으며, 소형 우드칩과 대형 우드칩을 부피 비율 1:1로 혼합하여 사용하였다. 우드칩의 크기가 작을수록 유입수와의 접촉 면적이 증가하여 탈질 박테리아를 위한 유기탄소의 공급을 촉진시킨다(Peterson et al., 2015). 따라서 소형 우드칩은 빠른 유기탄소 분해와 박테리아 성장 촉진을, 대형 우드칩은 칼럼의 장기 안정성 유지를 목적으로 사용하였다. 자갈은 유입수가 칼럼 내부를 원활하게 통과할 수 있도록 만들어 주며, 4-9.5 mm로 채질한 뒤 증류수(deionized water; DI)로 세척하여 상온 건조 후 사용하였다. 추가로 칼럼 내부에서의 탈질 박테리아 활성화를 위해 소량의 자연토양을 넣어주었다. 자연토양은 전라북도 전주시 덕진연못에서 채취하였으며, 칼럼 패킹 과정에서 5 cm 간격으로 약 5-10 g 넣어주었다. 칼럼 반응물질 및 혼합 비율은 Table 1에 제시하였다.
칼럼 충진 후, 공극 부피(pore volume; PV) 계산을 위해 증류수로 포화시켜 주었다. 각 칼럼의 공극 부피는 포화 상태 칼럼과 건조 상태 칼럼의 질량 차이로 결정하였으며, Old 칼럼의 1 PV는 750 mL, New 칼럼의 1 PV는 795.3 mL로 계산되었다. 두 칼럼의 프로파일 샘플링 당시의 칼럼 운영 기간(days), 누적 공극 부피(PVs), 유속(mL day-1), 침투속도(cm day-1)는 Table 2에 제시하였다.
2.3. 시료 채취 및 수질 분석
프로파일 샘플링이란 칼럼의 유입구에서 유출구까지의 시공간적 변화를 파악하기 위한 방법으로, 칼럼 측면에 설치된 각 포트를 통한 시료 채취를 말한다. 본 연구에서는 칼럼 체류시간에 따라 각 포트에서 칼럼 내 질산염 제거 및 반응 속도 비교를 위한 시료(Old 및 New 칼럼, 포트당 60 mL)와 질산염 변환 과정에 따른 질산염 및 물 안정 동위원소 변화 분석을 위한 시료(New 칼럼, 포트당 100 mL)를 구분하여 채취하였으며, 칼럼 내 반응 프로파일을 분석하였다.
탈질 반응은 무산소 상태에서 발생하므로 산소와의 반응을 방지하기 위해 샘플링 병을 아르곤 기체로 퍼징(purging)하여 사용하였다. 샘플링 병은 유입 호스와 유출 호스로 구성되며, 유입 호스는 칼럼의 포트 부분에 연결되어 시료가 병으로 직접 유입된다. 이와 동시에 유출 호스를 통해 샘플링 병 내부에 포화된 아르곤 기체가 배출되며, 호스 말단을 수중에 배치하여 외부 산소 접촉을 최소화하였다. 채취한 샘플은 0.45 μm cellulose acetate (CA) 시린지 필터(Hyundai Micro, Korea)로 여과하였다.
측정한 수질 항목은 pH, 알칼리도(alkalinity), Eh, 용존산소(dissolved oxygen; DO), 전기전도도(electrical conductivity; EC)이다. pH는 pH 4, 7, 10 완충용액을 이용하여 교정 후, Orion STAR A215 (Thermo Fisher Scientific, USA)와 Orion ROSS Ultra pH/ATC Triode electrode (Thermo Fisher Scientific, USA)를 사용하여 측정하였다. 알칼리도는 Hach digital titrator (Hach Co., USA)를 사용하여 측정하였으며, 0.16 N 황산(H2SO4)이 pH 4.5까지 적정된 양을 mg L-1 as CaCO3 값으로 환산하였다. 산화-환원 전위(oxidation-reduction potential; ORP)는 Orion standard solution으로 교정 후, Orion STAR A215 pH/conductivity meter (Thermo Fisher Scientific, USA)와 Orion Redox/ORP SJ Sure-Flow probe (Thermo Fisher Scientific, USA)로 측정된 값을 Eh 값으로 환산하였다. 용존산소는 Orion Star A326 pH/Dissolved Oxygen Meter (Thermo Fisher Scientific, USA)와 Orion RDO Dissolved Oxygen Probe (Thermo Fisher Scientific, USA)를, 전기전도도는 Orion STAR A325 pH/conductivity meter (Thermo Fisher Scientific, USA)와 Orion 013005MD conductivity cell probe (Thermo Fisher Scientific, USA)를 사용하여 측정하였다.
음이온(F, Cl, NO2, Br, NO3, PO4, 및 SO4) 농도 분석을 위해 이온 크로마토그래피(ion chromatography; IC) (ICS-90; Thermo Fisher Scientific, USA)를 이용하였으며, Dionex AS14 Eluent (Thermo Fisher Scientific, USA)와 Dionex Seven Anion Standard II (Thermo Fisher Scientific, USA)로 분석하였다. 음이온 성분의 정량한계(limit of quantitation; LOQ)는 0.06-0.54 mg L-1이며, NO2 및 NO3의 정량한계는 각각 0.22 mg L-1 및 0.40 mg L-1이다.
2.4. 동위원소 분석
동위원소들은 근소한 물리적 성질 차이로 인해 상대적으로 서로 다르게 거동하게 되어 분별 작용(isotopic fractionation)을 겪게 된다. 이때 잔류 물질과 제거된 물질 사이의 동위원소 비를 설명하기 위하여 Rayleigh 분별 모델(식 3)을 활용한다.

여기서 R은 잔류 물질의 동위원소 비율, R0는 초기 동위원소 비율, f는 잔류 물질의 비율을 나타낸다. α는 분별 계수(fractionation factor)로서 반응물의 동위원소 비율에 대한 생성물의 동위원소 비율을 나타낸다.
농축 계수(ε)는 동위원소 분별을 정량적으로 나타내는데 사용되며, 식 (4)와 같이 정의된다.

본 연구에서는 New 칼럼을 이용하여 δ15N-NO3-, δ18O-NO3-, δ2H-H2O 및 δ18O-H2O 분석을 위한 시료를 채취하였다. δ15N-NO3- 및 δ18O-NO3- 분석 시료는 시료 채취 직후 냉동보관 하였으며, 한국기초과학지원연구원(KBSI, Korea)에서 동위원소비 질량분석법(isotope ratio mass spectrometry; IRMS) (Isoprime, GV instruments, England)을 이용하여 분석하였다. 측정값은 국제 표준물질(IAEA-NO3)을 사용하여 보정되었으며, 각 표준물질의 δ15N, δ18O는 각각 +4.7 ± 0.2‰과 +25.6 ± 0.2‰로 측정되었다. 이 값은 기존 문헌에서 제시한 범위와 부합한다(Böhlke et al., 2003). δ2H-H2O 및 δ18O-H2O는 이화여자대학교(Seoul, Korea)에서 동위원소 적외선 분광법(isotope ratio infrared spectroscopy; IRIS) (L212-i, Picarro, USA)을 이용하여 분석하였다. δ2H와 δ18O의 허용오차는 각각 0.1‰과 1.0‰ 미만으로 나타났다.
시료의 동위원소 조성은 표준물질과 비교하여 상대적인 값(‰)으로 표현되며, 델타 표기법(δ, delta notation) (식 5)을 사용하여 계산한다.

이때 Rsample은 각 시료의 동위원소 비율(15N/14N, 18O/16O 및 2H/1H)을 나타내며, Rreference는 각 원소의 국제 표준물질의 동위원소 비율을 나타낸다. 15N/14N는 대기 중 질소(Air)를, 18O/16O와 2H/1H는 Vienna Standard Mean Ocean Water (VSMOW)를 표준물질로 사용하였다(Kim et al., 2012).
|
Fig. 2 A schematic diagram of the column experiment. |
|
Fig. 3 A schematic diagram of gas measurement in the Old column for calculating gas generation rate. |
3.1. 지화학 성분 변화
두 칼럼에서의 유속이 차이가 나므로 각 포트에서 측정한 수질 항목들은 모두 체류시간(residence time)에 대한 값으로 제시하였다. 체류시간이란 칼럼에 공급된 유입수가 칼럼 내부에서 머무르는 시간을 의미하며, 식 (6)을 통해 계산한다.

이때 V는 유입구부터 특정 샘플링 포트까지의 칼럼 부피(cm3), n은 공극률(porosity, -), Q는 유량(mL day-1)을 의미한다. 각 칼럼의 공극률을 고려하여 실제로 물이 흐를 수 있는 부피를 유량으로 나누어서 체류시간을 산정하였다. Old 칼럼의 총 체류시간은 1.85일, New 칼럼은 0.63일로 계산되었다. 프로파일 샘플링 과정에서 시료를 채취한 포트의 거리와 체류시간, 측정한 수질 항목(pH, 알칼리도, Eh, DO 및 EC) 결과는 Table 3에 제시하였다.
Old 칼럼의 pH는 5.5-6.9, New 칼럼은 6.1-7.2의 값을 나타내었으며, 유입수가 칼럼 내 반응물질을 통과하면서 약산성에서 중성으로 중화되는 경향을 보였다. 식 (1)에 따르면 탈질 박테리아는 질산염을 전자수용체로, 칼럼 내 우드칩이 분해되어 나오는 유기탄소를 전자공여체로 활용하면서 중탄산염(HCO3-)을 생성한다(Ko et al., 2021). 이에 따라 두 칼럼의 pH가 증가한 것으로 해석된다. 종속영양 탈질 박테리아는 pH 5.5-8.0, 25-35oC 범위에서 활성화 및 생존이 가능한 것으로 알려져 있으며(Gibert et al., 2008), 탈질소화 속도는 pH 4.6 미만, pH 8.3 이상일 때 상당히 감소할 수 있다(Gonsalez et al., 2023). 이 범위를 벗어난 pH 환경은 미생물의 대사 작용에 해로운 영향을 끼쳐 완충제의 사용이 필요할 수 있으나(Rust et al., 2000), 두 칼럼에서 측정된 pH는 적정 범위 내에서 일정하게 유지되었다. 이를 바탕으로 두 칼럼 내부 환경이 탈질 박테리아의 생존에 유리하게 조성되었음을 알 수 있다. pH가 중화됨에 따라 두 칼럼의 알칼리도(New: 6.0-66.0 mg L-1 as CaCO3, Old: 6.0-25.8 mg L-1 as CaCO3) 또한 증가하는 경향을 보였는데, 탄소 공급원인 우드칩의 분해에 의한 것으로 판단된다. 이때 방출되는 유기물질은 박테리아가 추가적인 탄소원 및 성장 인자로 사용할 수 있다(Moloantoa et al., 2022).
Eh는 Old 칼럼에서 529-713 mV, New 칼럼에서 417-648 mV의 값을 나타내었으며, 두 칼럼 모두 감소하는 경향을 보였다. 일반적으로 탈질과정은 200-665 mV 범위 내에서 발생하는 것으로 알려져 있으며(Debernardi et al., 2008; Ortmeyer et al., 2021), 두 칼럼의 Eh 결과는 탈질 환경 범위를 지시한다.
용존산소는 Old 칼럼에서 7.5-3.3 mg L-1, New 칼럼에서 3.7-1.2 mg L-1의 값을 나타내었으며, Eh와 마찬가지로 두 칼럼 모두 감소하는 경향을 보였다. 일반적으로 탈질 반응은 용존산소가 낮은 환경에서 주로 발생한다. 산소는 질산염을 질소 기체로 전환하는데 필요한 효소 시스템을 억제하며, 용존산소 농도가 높을수록 탈질화가 억제된다(He et al., 2017). 탈질 박테리아는 최대 4.5 mg L-1의 용존산소 농도까지 생존이 가능한 것으로 보고되는데(Gómez et al., 2002; Foglar et al., 2005), 두 칼럼에서는 유입수(influent)를 제외한 모든 구간에서의 용존산소 농도가 탈질 박테리아 생존에 적합한 수준이며, 탈질 반응이 발생하면서 두 칼럼 내부가 점차 혐기성 환경으로 변화하고 있음을 보여준다.
전기전도도는 두 칼럼에서 뚜렷한 경향성을 보이지 않았으며, 질산염의 농도에 비해 다른 이온의 농도가 더 지배적인 것으로 판단된다.
3.2. 질산염(NO3-) 및 아질산염(NO2-) 농도 변화, 탈질 반응 속도 및 기체 생성 속도
Fig. 4는 두 칼럼에서 분석된 NO3- 농도 변화를 보여준다. Old 칼럼은 1.85일 체류시간 동안 유입수 질산염 농도의 약 22%, New 칼럼은 0.63일 체류시간 동안 유입수 질산염 농도의 약 60%가 제거되었다. 특히 New 칼럼은 Old 칼럼에 비해 확연하게 많은 제거가 이루어졌는데, 이는 두 칼럼의 운용 기간에 따른 질산염 제거 효율 차이 때문인 것으로 판단된다.
두 칼럼에서의 반응 속도를 비교하기 위하여 NO3-의 농도를 영차 반응 속도식(zero-order reaction kinetic equation) (식 7)에 적용하여 반응 속도를 계산하였다. 일반적으로 영차 반응에서는 반응 속도가 기질의 농도와 무관하며, 농도와 시간의 관계는 직선으로 나타난다. 탈질 반응 속도는 NO3-의 농도가 약 22.2 mg L-1 이상일 때 영차 반응을 따르는 것으로 보고된다(Dincer and Kargý, 2000).

여기서 [A]t는 시간 t (day)에서의 질산염의 농도(mmol L-1)를 의미하며, 유입수의 질산염 농도인 [A]0에서 시간 경과에 따라 감소한다. 이때 반응 속도 상수 k (mmol L-1 day-1)는 단위 시간당 질산염의 농도가 얼마나 줄어드는지를 나타내는 값이며, 시간 t에 의해 결정된다. 이러한 영차 반응 모델을 활용하여 특정 시간 이후 남아 있는 용질의 농도를 예측할 수 있다.
Fig. 5는 두 칼럼에서 측정된 NO3-의 농도 변화를 영차 반응 속도식에 적용하여 탈질 반응 속도를 비교한 결과이다. 두 칼럼 모두 변수의 선형회귀에 대한 R2값이 0.9 이상을 나타내었으므로 영차 반응 속도 모델이 적합함을 보여준다. Old 칼럼의 질산염 제거 속도는 0.0814 mmol L-1 day-1, New 칼럼은 1.3037 mmol L-1 day-1로 계산되었으며, Old 칼럼은 New 칼럼에 비해 약 16배 반응 속도가 느렸다. Old 칼럼의 알칼리도 증가폭이 New 칼럼에 비해 현저히 작은 것으로 보아, Old 칼럼 내부에서 유기물 분해가 상당히 느려졌다고 판단할 수 있다(Ko et al., 2021). 하지만 Old 칼럼은 9년의 긴 장기 운용에도 불구하고, 여전히 질산염의 제거가 지속적으로 이루어지고 있으며, 우드칩이 투과성 반응벽의 반응물질로서 질산염 제거에 효과적일 뿐만 아니라 장기간 운용에도 적합함을 보여준다.
이러한 결과는 선행연구와 비교하였을 때도 우드칩의 반응물질로서의 적합성을 뒷받침한다. Humphrey et al.(2025)는 우드칩을 반응물질로 한 투과성 반응벽을 현장에 설치하여 약 45%의 질산염 감소와 함께(설치 전: 12.66 mg L-1, 설치 후: 6.93 mg L-1), 유지보수 없이 상당 기간 효과가 유지될 수 있음을 보여주었다. 이는 우드칩이 현장에서도 장기간 안정적으로 운용이 가능함을 보여주는 것으로 본 연구 결과와 부합한다.
Fig. 6은 두 칼럼에서 분석된 NO2-의 농도 변화를 보여준다. NO2-의 농도는 Old 칼럼에서 최대 1.78 mg L-1, New 칼럼은 최대 2.93 mg L-1로 나타났으며, 두 칼럼 모두 NO3-에 비해 상대적으로 매우 낮은 농도로 검출되었다. 이는 두 칼럼에 유입된 NO3-가 탈질과정에 의해 중간산물인 NO2-로 변환되었으며 이후 NO2- 또한 연속적인 탈질반응으로 분해되었을 수 있음을 시사한다.
Fig. 7은 Old 칼럼 운용 2,873일부터 3,250일까지 측정된 기체 생성 속도를 보여준다. 질산염은 식 (2)의 과정을 따라 환원되는데, 이때 NO, N2O 기체가 중간산물로 생성되나 반응성이 매우 높아 최종산물인 N2 기체로 빠르게 변환된다(Betlach and Tiedje, 1981). 따라서 Old 칼럼에서 발생한 기체는 주로 N2 기체로 구성된 것으로 추정된다. 우드칩의 분해 및 미생물 호흡 과정에서 CO2나 CH4 등 다른 기체도 일부 생성되었을 가능성이 있으나, 본 연구에서는 탈질 반응에 의해 생성되는 N2 기체를 중심으로 기체 생성 속도를 평가하였다. 유입수의 질산염(NO3-N 기준 10 mg L-1)이 모두 N2 기체로 변환된다고 가정할 경우, 이상기체 방정식을 이용하여 계산된 이론적 기체 생성 속도는 약 3.43 mL day-1이다. 하지만 대부분의 실험 결과는 이론값에 비해 낮게 나타났는데, 이는 계산된 이론값은 기체가 연속적으로 발생한다고 가정하지만, 실제 칼럼 내부에서 생성된 기체가 모세관압을 극복하고 공극을 빠져나오기 위해선 일정 압력을 축적하는 과정이 필요하기 때문인 것으로 생각된다(Amos and Mayer, 2006; Jeen et al., 2012). N2 기체는 불규칙적으로 배출되며, 이런 불규칙성이 기체 발생량 측정 결과가 이론값보다 낮게 나타나는 원인 중 하나인 것으로 추정된다.
두 칼럼 내에서의 질산염 제거는 질산 환원 이화 작용(dissimilatory nitrate reduction to ammonium; DNRA)이 아닌 탈질과정이 주요 기작으로 작용한 것으로 보인다. DNRA는 질산염이 암모늄으로 환원되는 과정이며, 본 연구에서는 암모니아 분석을 수행하진 않았으나, 선행 연구(Ko et al., 2021)에서 Old 칼럼 유출수(364.2 PVs에서 측정)의 암모니아성 질소 농도는 0.32 mg L-1로 측정되었다. 이는 먹는 물 수질 기준보다 낮은 수준이며, 본 연구에서도 질산염 제거가 주로 탈질과정을 통해 이루어졌음을 간접적으로 추정할 수 있다.
3.3. 동위원소 분별 작용
탈질과정에 따른 질산염 동위원소 변화를 파악하기 위해 잔여 질산염 농도(f)에 대한 δ15N-NO3-와 δ18O-NO3- 값을 Fig. 8에 제시하였다. 이때 잔여 질산염 농도는 유입수 질산염 농도(C0)에 대한 체류시간 별 질산염 농도(C)의 비(C/C0)로 표시하였다. 일반적으로 탈질과정에서 미생물은 상대적으로 가벼운 동위원소(14N와 16O)를 선호한다. 즉 14N와 16O는 미생물에 의해 우선적으로 전환되고, 잔류 질산염 내 15N와 18O가 농축되어 증가하는 동위원소 분별이 발생한다. Table 4와 같이 New 칼럼 내 잔여 질산염 농도가 감소할수록 δ15N과 δ18O의 비율이 증가하는 경향을 보였으며, δ15N-NO3-과 δ18O-NO3-의 범위는 각각 8.27-27.1‰, 19.81-39.08‰로 나타났다.
동위원소 분별 과정은 일반적으로 Rayleigh 분별 모델로 설명된다(Deb et al., 2024). δ15N-NO3-와 δ18O-NO3-의 농축 계수(ε) 비율(εN/εO)은 탈질화 정도를 평가하는 지표로 활용되는데(Zhang et al., 2018), 탈질과정에서는 1:1-2:1 사이의 양의 상관관계를 가지는 것으로 보고된다(Jung et al., 2020; Kendall et al., 2007). New 칼럼 결과를 Rayleigh 분별 모델에 적용하여 계산된 δ15N-NO3-와 δ18O-NO3-의 농축 계수는 εN = 21.8‰, εO = 21.9‰로, 약 1:1의 농축 계수 비율을 나타내었으며, 이는 기존의 문헌값들과 대체로 일치한다. 탈질과정은 δ15N-NO3-에 대해 매우 큰 농축 효과를 보이지만, δ¹⁸O-NO3-에는 상대적으로 미약한 영향을 미치는데, 이는 탈질과정이 질산염과 관련된 다른 반응들과 병행하여 발생함을 나타낸다(Osaka et al., 2010). Table 5와 같이, New 칼럼의 δ¹⁸O-NO3-의 분별 정도는 선행 연구(Buyanjargal et al., 2023)에서 수행된 Old 칼럼의 결과(144.6 PVs에서 측정)보다 두드러졌으며, δ18O의-NO3- 농축이 강하게 발생했음을 알 수 있다. 이는 동위원소 분석 샘플링이 이루어진 두 칼럼의 운용 시점과 사용된 우드칩의 종류 차이 때문인 것으로 판단된다.
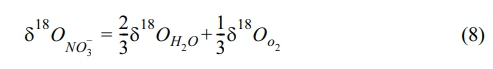
New 칼럼의 물 안정 동위원소(δ2H-H2O 및 δ18O-H2O) 분석 결과는 Table 6에 제시하였다. 일반적으로 NO3-는 주변 수계와 산소 동위원소 교환이 가능하며, 특히 질산화 과정에서 생성된 질산염의 δ18O-NO3- 조성은 주변 수계(H2O)로부터 약 2/3를, 나머지 1/3은 대기 중 산소(O2)로부터 유래한다(Kendall, 1998; Knöller et al., 2011). 이때 산소 원자에 대한 동위원소 분별이 발생하지 않고 주변 수계 및 대기 중 오염원의 δ18O 값이 알려져 있다면 아래 식 (8)을 이용하여 δ18O-NO3-의 이론값을 계산할 수 있으며, 질소 화합물 변환에서 질산화 과정의 기여도를 평가할 수 있다(Jung et al., 2020).

주변 수계 및 대기 중 δ18O는 다양한 비율을 가지며, 산소 동위원소 분별 발생 혹은 다양한 생물학적 과정의 영향을 받는다(Qin et al., 2019). 일반적으로 δ18O-NO3-의 이론값은 +0.6 - +3.0‰의 범위이며, 대기 중 산소의 δ18O는 +23.5‰로 보고된다(Qin et al., 2019).
Fig. 9는 δ18O-NO3-와 δ18O-H2O의 조성 관계를 나타내며, 질산화 과정에서 δ18O-NO3-의 기원을 해석하기 위한 3개의 기준선들을 포함한다. New 칼럼의 δ18O-NO3-와 δ18O-H2O의 조성을 기준선들과 비교함으로써 질산염 변환 과정에 따른 물 안정 동위원소의 변화를 파악하고자 하였다. 상단 점선(δ18O-NO3- = δ18O-O2)은 δ18O-NO3-가 모두 대기에서 기원하는 경우를, 중앙 실선은 식 (8)에 해당하는 혼합 기원을, 하단 1점 쇄선(δ18O-NO3- = δ18O-H2O)은 δ18O-NO3- 가 모두 수계에서 기원하는 경우를 나타낸다. New 칼럼의 모든 샘플은 식 (8)로 계산된 δ18O-NO3- 이론값보다 높은 조성을 보이며 일치하지 않는 경향을 보였다. 특히 δ18O-NO3- 값은 명확하게 상승하는 경향을 보이나, δ18O-H2O 값은 반응 중 변화가 매우 적었는데, 질산염의 변환에 따른 δ18O-NO3-의 분별이 δ18O-H2O에 미미한 영향을 미쳤음을 알 수 있다. 이는 칼럼에 유입된 질산염이 전체 수체에 비해 상대적으로 무시할 수준이므로 δ18O-H2O 값은 δ18O-NO3-에 비해 크게 영향을 받지 않은 것으로 판단된다. Knöller et al.(2011)은 서로 다른 δ18O-H2O 조건에서 수행한 탈질 실험으로 δ18O-NO3-의 변화를 비교하였으며, δ18O-H2O가 δ18O-NO3-에 유의미한 영향을 미치지 않는다는 연구 결과를 보여주었다. 이는 탈질과정에서 δ18O-H2O의 평형적 분별(equilibrium fractionation)보다는 동역학적 분별(kinetic fractionation)이 더 우세할 수 있음을 시사한다.
|
Fig. 4 NO3− concentrations of the Old (left) and New (right) columns. Note that the influent NO3− concentrations were different between the two columns. |
|
Fig. 5 Denitrification rate of the Old (left) and New (right) columns. |
|
Fig. 6 NO2− concentrations of the Old (left) and New (right) columns. |
|
Fig. 7 Gas emission rates for the Old column (2,873−3,250 days). |
|
Fig. 8 Isotopic fractionation of nitrate (δ15N and δ18O) for the New column. |
|
Fig. 9 δ18O-NO3 − vs. δ18O-H2O in the New column with theoretical values. The dashed line represents the oxygen isotope composition of nitrate in which all oxygen atoms are derived from atmospheric O2. The solid line indicates that one-third of the oxygen is derived from O2, while two-thirds originates from H2O. The dash-dotted line indicates that all oxygen atoms are derived from H2O (Ren et al., 2021). |
|
Table 3 Water quality parameters measured in the Old and New columns |
*Excluding 1.5 cm from both the top and bottom silica layers |
|
Table 4 Compositions of δ15N-NO3- and δ18O-NO3- in the New column |
*Excluding 1.5 cm from both the top and bottom silica layers |
|
Table 5 Compositions of δ15N-NO3- and δ18O-NO3- in the Old column (measured at 144.6 PVs) (Buyanjargal et al., 2023) |
*Excluding 1.5 cm from both the top and bottom silica layers |
|
Table 6 Compositions of δ2H-H2O and δ18O-H2O in the New column |
*Excluding 1.5 cm from both the top and bottom silica layers |
본 연구에서는 우드칩을 이용한 두 개의 칼럼(Old 및 New 칼럼)으로 유기물 기반 투과성 반응벽의 장기 운영에 따른 질산염 제거 성능 및 반응성 변화를 파악하고, 질산염 제거 과정에서 발생하는 질산염 동위원소 분별 특성과 물 안정 동위원소의 조성 변화를 이해하고자 하였다.
두 칼럼 모두 반응이 진행됨에 따라 pH와 알칼리도가 상승하였고, Eh와 용존산소는 감소하였다. 이러한 지화학 인자 변화는 칼럼 내부가 탈질 박테리아 활성화와 환원 환경으로 변화하고 있음을 지시하였다. 두 칼럼에 유입된 질산염은 점차 농도가 감소하였으며, 아질산염이 검출된 것으로 보아 질산염이 탈질과정의 중간산물인 아질산염으로 일부 변환되었음을 나타내었다. Old 칼럼에 설치된 기체 측정 장치를 통해 칼럼 내부에서의 기체 발생을 확인하였으며, 이는 칼럼 내부에서 발생한 탈질과정에 의해 질산염이 최종적으로 N2 기체까지 변환되었을 가능성을 시사한다.
탈질 반응 속도 비교 결과, 두 칼럼의 질산염 제거 능력에는 뚜렷한 차이를 보였다. 측정된 질산염의 농도를 영차 반응 속도식에 적용한 결과, Old 칼럼(0.0814 mmol L-1 day-1)은 New 칼럼(1.3037 mmol L-1 day-1)보다 약 16배 느린 탈질 반응 속도를 보였다. 이는 Old 칼럼의 장기 운영으로 인하여 반응성이 좋은 유기탄소 소모 및 미생물 활성 저하가 반응 속도의 감소로 이어졌음을 시사한다. 그럼에도 불구하고 Old 칼럼에서 여전히 유의미한 질산염 제거가 지속되고 있다는 점은 유기물 기반의 투과성 반응벽이 장기간에도 기능을 유지할 수 있음을 보여주며, 우드칩이 질산염 제거 및 장기 운영에 적합한 반응물질임을 지시한다.
질산염 동위원소 분석을 통해 탈질과정에 따른 분별 작용을 확인하였는데, New 칼럼에서 질산염의 농도가 감소함에 따라 δ15N–NO3-(8.27-27.1‰)와 δ18O–NO3-(19.81-39.08‰)가 모두 증가하였으며, Rayleigh 분별 모델에 적용하여 계산된 농축 계수 비율은 약 1:1(εN = 21.8‰, εO = 21.9‰)로 나타났다. 이는 기존에 보고된 탈질과정에 의한 농축 계수 비율과 부합한다. δ18O-H2O (-7.87- -7.76‰)는 반응 중 거의 변동을 보이지 않았으며, δ15N–NO3-와 δ18O-H2O의 조성 간에는 유의미한 상관관계가 관찰되지 않았다. 따라서 질산염 변환 과정에서 발생한 δ18O–NO3-의 분별은 δ18O-H2O에 거의 영향을 미치지 않은 것으로 해석된다.
본 연구는 현장 규모 투과성 반응벽의 설계 및 운영 측면에서 반응성 물질의 적합성 평가, 운용 기간 예측, 유지관리 전략 수립에 유의미한 기초 자료로 활용될 수 있을 것으로 판단된다. 아울러 질소 화합물의 변환 과정에 수반된 물 안정 동위원소 변화에 대한 연구가 부족한 상황에서 본 연구가 제시한 결과는 추후 질소 순환과 물 순환의 연결고리에서 질소 화합물 변환이 차지하는 역할을 규명하는데 기여할 수 있을 것으로 기대된다.
이 연구는 정부(과학기술정보통신부)의 재원으로 한국연구재단의 지원을 받아 수행되었습니다(No. RS-2024-00348441).
This Article2025; 30(6): 42-54
Published on Dec 31, 2025
Services
Correspondence to1Department of Environment and Energy, Jeonbuk National University
2Department of Earth and Environmental Sciences & The Earth and Environmental Science System Research Center, Jeonbuk National University