
Cho SungHyen1*, Kim Tae Seung1, Shin Woo Jin2, and Lee Ghwang-Sik2
1National Instrumentation Center for Environmental Management (NICEM), Seoul National University, Seoul 08826, Korea
2Korea Basic Science Institute (KBSI), 162 Yeongudanji-ro, Ochang-eup, Cheongwon-gu, Cheongju-si, Chungcheongbuk-do, 28119, Korea
조성현1*ㆍ김태승1ㆍ신우진2ㆍ이광식2
1서울대학교 농생명과학공동기기원, 2한국기초과학지원연구원
This article is an open access article distributed under the terms of the Creative Commons Attribution Non-Commercial License (http://creativecommons.org/licenses/by-nc/4.0) which permits unrestricted non-commercial use, distribution, and reproduction in any medium, provided the original work is properly cited.
This study investigated the temporal evolution of baseflow and other runoff components during two consecutive rainfall events occurring at a two-day interval. End-Member Mixing Analysis (EMMA) was employed to assess the impact of antecedent rainfall on the subsequent event, alongside the characterization of hydrograph components. Environmental tracers, specifically stable isotopes (δ¹⁸O and δD) and dissolved silica (Si), were utilized to trace water origins and subsurface processes. Due to measurement limitations, the maximum silica concentration in the soil water component was estimated via a mass balance-based trial-and-error approach, which warrants further empirical validation. Hydrograph separation was performed using both 3-component (Event 1, Event 2, and baseflow) and 4-component (incorporating soil water) mixing models. The 4-component model provided a more physically plausible interpretation of baseflow dynamics; while the 3-component model attributed over 50% of the discharge to baseflow, the 4-component model revealed soil water as the dominant contributor. Furthermore, the results suggest that Event 1, which was 4.5 times larger than the subsequent event, had a persistent impact on streamflow during and beyond the second rainfall. This study confirms that streamflow is more significantly influenced by pre-event water (baseflow and soil water) than by direct event. The higher contribution of soil water relative to baseflow is attributed to the distinct hydraulic differences between fast-flow (soil water) and slow-flow (baseflow) regimes.
Keywords: Baseflow, Environmental Tracer, End-Member Mixing Analysis, Mass balance, slow-flow
수문곡선(hydrograph)은 하천유량의 변화를 표현한다. 수문곡선의 구성 성분은 직접유출(direct flow), 지표유출(surface flow), 중간유출(interflow), 그리고 기저유출(baseflow) 등 다양하다. 기저유출은 대수층에서 발생하여 강우의 지하수 함양 과정을 통해 하천에 유입된다. 그러므로 기저유출의 변동은 지하수 함양량의 변화를 시사한다(Lee and Krothe, 2001; Cho et al., 2008).
지표유출, 중간유출과 기저유출과의 차이는 빠른 흐름(quick flow)과 느린 흐름(slow flow)으로 이해되고 있다(Barnes, 1939; Sklash and Farvolden, 1976; Ogunkoya and Jenkins, 1993; Hinton et al., 1994; Kendall et al., 1995; Sophocleous, 2002). 이러한 흐름의 이해는 시간의 개념이다. 마찬가지로 강우(rainfall)를 시간에 따라 구분하면, 강우 발생 시점(event)과 강우 발생 전(pre-event) 시점으로 표현된다(Obradovic and Sklash, 1986; Pearce et al., 1986; Sklash et al., 1986; Hooper and Shoemaker, 1986).
한편, 수문곡선으로부터 기저유출 성분의 분리는 여러 방법이 있지만, 도식적인 방법(graphical method, GM)과 환경 추적자 방법(environmental tracer method, ETM)으로 나눌 수 있다(Cho and Moon, 2022). ETM은 물의 질량수지방정식(mass balance equation)을 기반으로, 강우 발생 시점과 강우 발생 전 시점의 수질로 분리하는 방법이다(Bottomley et al., 1984, 1986; Hooper and Shoemaker, 1986; Moore, 1989; Wels et al., 1991; Eshleman et al., 1993; Lee and Krothe, 2001; Shanly et al., 2002; Cho et al., 2003, 2005; Cho and Moon, 2022).
질량수지방정식 EMMA (End-Member Mixing Analysis)에 적용된다. EMMA는 극단값(end-member)이 존재할 때, 예를 들면 강우(event, new water)와 강우 이전 하천수(pre-event, old water)의 수질이 차이(contrast) 나는 극단값일 때, 수질은 두 극단값 사이에 존재한다. 수문곡선의 분리(hydrograph separation)는 이들의 구성비(ratio)로 표현된 것이다. 단순히 이분법적인 EMMA의 적용은 강우(event)와 강우 전 하천수(pre-event, baseflow)인 2성분계(2-component)이다. 그런데 다양한 추적자(tracer)는 서로 다른 각각의 기저유출량을 보였다. 결국 3성분계의 개발로 인해 추적자마다 각각의 산정량은 토양수(soil water, subsurface water)의 영향으로 해석될 수 있었다(Ogunkoya and Jenkins, 1993; Hinton et al., 1994; Kendall et al., 1995; Lee, 2017; Gubareva et al., 2018; Junng and Lee, 2020; Roy et al., 2023; Li et al., 2025).
초기의 ETM 연구는 여러 강우 사상을 나눠 단일 강우를 대상으로 수문곡선의 성분을 분리하는 것이었다(Sklash and Farvolden, 1976; Bottomley et al., 1984, 1986; Moore, 1989; Wels et al., 1991; Eshleman et al., 1993; Cho et al., 2008). 여러 강우에 대해 기저유출 성분의 변화를 검토하더라도 2성분계의 한계를 벗어나지 못했다(Cho, S. et al., 2007). 이후 구성 성분의 기원 추적을 목적으로, 성분들을 얼마나 여러 개로 구분할 수 있는지에 집중하였다(Lee and Krothe, 2001; Gubareva, et al., 2018; Li et al, 2025). 본 연구는 연속적인 강우로 인해, 수문곡선의 성분들의 구성 비율, 선행 강우(event 1)가 후행 강우(event 2)와 기저유출에 미치는 영향과 토양수 성분의 추가로 인해 발생하는 기저유출의 기여도 변화를 검토하고자 한다.
2.1. 연구방법
2.1.1. 연구 지역과 시료채취
연구 지역은 남한강 지천인 양화천 소유역이다(Fig. 1). 소유역의 지질은 중생대 쥐라기 복운모화강암(two-mica granite)과 이를 피복한 신생대 제4기 충적층(alluvium)이다(KIGAM, 2025). 수계의 발달은 북북동 방향으로 길쭉한 형태의 양화천이 남한강으로 유입된다(Fig. 1).
연구 지역이 포함된 여주의 평년(과거 30년간 기후 평균, 1991~2020년) 강수량은 1,173.0 mm이다(KMA, 2025). 유역 주변은 한강 홍수통제소에서 운영하는 무인 강우관측소가 있으며, 위치는 장천초교(R1), 이천남초(R2), 금당초교(R3), 및 영월공원(여주대교, R4) 등 4곳이다(Fig. 1 참조). 발생 강우는 2024년 10월 18일~19일 사이(event 1, 이하 강우 1)와 10월 22일~23일 사이(event 2, 이하 강우 2)로, 2회였다. 본 연구에서 평균강수량은 각 강우관측소를 연결하는 티센망(thiessen net)을 작도하고, 망(net)의 중앙에서 수직이 되는 발을 연결하여 티센다각형(thiessen polygon) 작도해 유역에 대한 면적비로 구하였다(Kwak et al., 2020). 면적비(티센계수, thiessen coefficient)는 각 관측소의 영역을 표현하는 무차원 계수이다(Table 1).
강우에서 추적자 농도는 관측소 주변에 채수통을 설치하여 티센망을 이용해 평균 추적자 농도도 구했다. 강우 채수통은 상부엔 깔때기를, 하부엔 콕(cock)을, 지지대로 1 m 이상 되는 삼각 받침대를 달아, 깔때기로 떨어진 빗물이 튕겨 나가지 않게 하고, 빗물이 지표면에 튕겨서 들어오는 것을 차단 되도록 제작하였다. 채수된 강우는 증발을 막는 것이 중요하다(Kendal and McDonnell, 2000). 그러므로 채수통에 알루미늄 은박을 입혀 태양광을 차단하고, 액체파라핀을 넣어 증발을 방지했다. 채수는 2024년 10월 21일과 10월 24일에 총 2회 수행했다.
하천수에서 시료 지점은 한강홍수통제소에 유량을 측정하는 지점으로, 유역의 유출구(outlet point)인 율극교(R5)이다. 하천수 채취 기간은 2024년 10월 16일부터 29일까지 14일 동안이다. 이 기간에 10개의 하천수 시료를 채취하였다. 이 지점은 6월부터 11월까지 6회에 걸쳐 월말에 정기적으로 시료 채취도 수행한 지점이다.
2.1.2. 질량수지 방정식
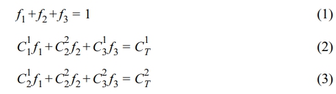
본 연구에서 EMMA (End-Member Mixing Analysis) 방법에 적용한 질량수지 방정식(mass balance equation)은 n+1개의 성분(sources)에 대하여 n개의 추적자(tracers)를 이용한 혼합모델(mixing model)을 통해 성분의 기여하는 비율(f)을 산정할 수 있다(Qgunkoya and Jenkins, 1993; Lee, 2017; Gubareva et al., 2018; Jung and Lee, 2020). 다음과 같이 3성분계로 표현할 수 있다.

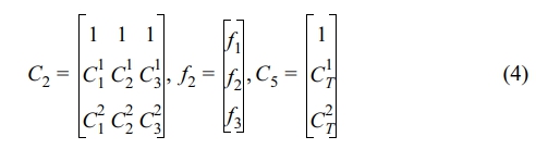
여기서, 식 (1)은 물의 질량수지, 식 (2)는 추적자 1의 질량수지, 식 (3)은 추적자 2의 질량수지이다. C1T와 C2T는 하천에서 추적자 1(C1)과 추적자 2(C2)의 농도이다. C11과 C21은 성분 1, C12과 C22은 성분 2, C13과 C23은 성분 3의 추적자 1과 추적자 2의 농도이다. f1, f2, f3는 하천에 기여하는 성분 1, 2, 3의 기여 비율이다. 식 (1), (2), 및 (3)을 행렬 3×3 형태로 표현하면 다음과 같다.

식 (4)를 혼합모델(mixing model)로 일반화하여 나타내면, 다음과 같은 행렬 식으로 정리된다.

식 (5)를 이용해 f1, f2, 및 f3 대해 정리하면 다음과 같다.

2.1.3. 추적자 선정과 분석
환경 추적자로서 산소와 수소는 물 분자를 구성하는 이상적인 보존성 추적자로, 하천유출의 근원을 추적하는데 유용하다(Coplen et al., 2000). 그러나 단일 강우에서도 온도와 기단의 이동에 따라 그 조성이 변하는 단점이 있다. 본 연구에서는 여러 지점에서 강우량을 측정하고, 강우를 채수해, 티센계수를 통해 유역에 미치는 평균 강우량과 추적자의 평균 조성을 산정하여 단점을 보완하였다. 규소(Si)는 암석-물의 상호작용이나 자유면 대수층에서 지하수면에 도달하는 과정 동안 반응하는 결과로 토양수가 하천에 미치는 영향 검토에 주로 사용되었다(Hooper and Shoemaker, 1986; Wels et al., 1991; Clark and Fritz, 1997). 물 분자를 이루는 산소와 수소의 안정동위원소의 조성과 강우에는 없지만 물-암석 또는 물-토양과 반응하는 검출되는 규소(Si)를 환경 추적자로 선정하였다.
물 안정동위원소 분석은 산소(δ18O-H2O)와 수소(δD-H2O)를 동시에 분석이 가능한 CRDS (Cavity Ring-Down Spectroscopy, L2130-i, PICARRO, USA)를 이용하여 서울대학교 농생명과학공동기기원에서 분석하였다. CRDS의 표준물질은 VSMOW 2 (Vienna Standard Mean Ocean Water 2, IAEA), SLAP 2 (Standard Light Antarctic Precipitation 2, IAEA)이다. 규소(Si)의 분석은 ICP-OES (Optima 8300, Perkin Elmer, USA)를 이용하여 기초과학지원연구원에서 분석하였다.
2.2. 연구결과 및 논의
2.2.1. End-Member의 결정
다음 Table 2는 티센계수로 산정한 양화천 유역의 강우량, 강우의 물 안정동위원소 조성 및 규소의 평균 농도이다(Fetter, 1994). 평균 강우량은 강우 1이 82.1 mm였고, 강우 2가 18.1 mm였다. 강우 1과 2 사이의 시간 간격은 2일이었다. 강우 1의 산소와 수소 안정동위원소는 각각 -7.1‰과 -40.2‰이었고, 두 번째는 각각 -8.6‰과 -42.7‰이었다. 강우 1과 2의 물 안정동위원소의 차이는 구름하부 증발효과의 차이(below-cloud effect)로 유추된다(Xing et al., 2023). 수증기 고갈은 구름 내 수증기가 응결되어 비로 내릴 때 무거운 동위원소가 먼저 빠져나가는 과정이고, 구름하부 증발효과는 구름 아래 건조한 대기를 통과할 때 빗방울 표면에서 증발하는 과정이다. 무거운 물 동위원소를 가진 선행 강우 뒤에 후행 강우는 선행 강우에서 무거운 물 동위원소의 소비로 후행 강우가 가벼워졌거나, 건조한 공기 중 먼저 내린 선행 강우가 공기 중 습도가 높은 후행 강우보다 무거워진 것으로 판단된다. 강우 1과 강우 2의 평균 물 안정동위원소 조성 및 규소 농도는 하천수의 극단값(end-member) 중 하나이다.
하천수 중 기저유출 성분과 토양수 성분의 극단값을 선정하였다. 기저유출 성분은 강우 1이 발생하기 전, 2024년 10월 17일에 하천으로부터 채수한 시료의 산소 및 수소 안정동위원소 조성으로 선정했다. 만약, 수문곡선에서 과거유출(old water)과 토양수(soil water & surface water) 성분을 하나로 묶어 기저유출(baseflow)로 가정한다면, 수문곡선을 강우와 기저유출 성분으로 구분하는 2성분계 혼합모델(2-component mixing model)이 된다. 그러나 2일 간격으로 후행 강우가 발생했으므로, 결국 수문곡선은 강우 1, 강우 2, 및 기저유출 성분으로 구분되는 3성분계 혼합모델(3-component mixing model)로 볼 수 있다. 기저유출 성분의 산소와 수소 안정동위원소 조성은 각각 -8.4‰과 -57.7‰이다. 기저유출의 규소 농도는 양화천 율곡교에서 1년 동안 정기 분석한 값 중 농도가 가장 낮은 6월과 7월의 값인 2.43 mg/L을 선정하였다. 무강우 시 하천에 공급되는 물은 순순히 기저유출로 가정되었기 때문이다(Table 3).
한편, 기저유출 성분을 과거유출과 토양수(지표유출)로 구분하기 위해 물 안정동위원소 조성은 2024년 10월 25일 10시 14분쯤 율극교에서 채취한 시료로 선정했다. 연구 기간 중 가장 높은 규소 농도인 8.35 mg/L이 검출될 때 물 안정동위원소 조성이다. 조성은 각각 -8.2‰과 -51.8‰이었다. 규소의 경우 8.35 mg/L 아닌 질량수지방정식(mass balance equation)을 만족하는 가장 높은 값인 10.2 mg/L로 결정했다. 규소는 물-토양 반응이 빨라, 시료 채수 간격을 보다 촘촘히 해야 했다. 토양수의 규소 농도는 질량수지방정식으로 시행착오(try and error) 방법을 통해 산정했다(Gubareva, T.S., et al., 2018). 강우와 과거유출의 최대와 최소, 토양수의 최소 극단값이 결정된다면, 나머지는 질량수지방정식에 의해 토양수에서 규소의 최대 농도인 극단값을 추정할 수 있다. 그렇지만, 추후 여러 강우 사상 동안 과거유출과 토양수의 규소의 범위(2.43~10.3 mg/L)를 확인할 필요는 있다. 그런데 3성분계에 토양수 성분까지 추가한다면, 수문곡선은 강우 1, 강우 2, 토양수, 및 과거유출 등 4개 성분으로 구분되는 4성분계 혼합모델(4-component mixing model)이 된다. 다음 Table 3은 선정된 과거유출과 토양수 극단값인 산소와 수소 안정동위원소 조성과 규소 농도를 정리한 것이다.
2.2.2. EMMA 적용
다음 Fig. 2는 Table 2와 3으로부터 결정한 수문곡선을 4개 요소(과거유출, 토양수, 강우 1과 2)로 구분하고자 결정한 극단값과 강우 중 하천에서 관측된 값을 나타낸다. 하천수에서 측정된 수질(δ18O-H2O, δD-H2O, Si) 변화는 결정된 최대와 최소의 극단값 안에서 EMMA(end-member mixing analysis)에 의해 적절한 비율로 기여도가 결정된다. 수문곡선에 기여하는 성분을 강우와 기저유출 성분으로 구분하면, 2성분계 혼합모델이다. 여기에 강우 성분을 강우 1과 2로 구분하면, 3성분계 혼합모델(Fig. 2a)이 된다. 여기서, EMMA 적용에 사용된 추적자는 산소와 수소 안정동위원소이다. 그리고 기저유출 성분을 과거유출과 토양수로 구분하면, 4성분계 혼합모델(Fig. 2b)이 된다. 여기서, EMMA 적용에 사용된 추적자는 산소와 수소 안정동위원소, 규소이다.
Fig. 2에서 EMMA을 적용한 결과, 하천 수질 변화는 삼각형 안에 놓이거나, 사각면체 안에 놓이게 된다. 그림에서 하천수의 수질 변화는 마름모 표현되며, 마름모의 위치는 강우(1과 2), 토양수, 기저유출(과거유출)의 비율(ratio)로 각각의 성분들(극단값)의 기여도이다. 그림처럼, 하천수의 수질 변화가 기저유출 성분에 더 가깝(Fig. 2a)거나, 토양수에 더 가깝(Fig. 2b)게 군집(grouping) 된다면, 기저유출이나 토양수 성분의 영향이 하천수 수질에 더 크게 모델화된 것이다.
2.2.3. 수문곡선 분리
Fig. 2로부터 얻은 각각의 성분들의 기여도를 이용해 수문곡선을 분리하면, 다음 Fig. 3과 같다. Fig. 3a은 수문곡선을 강우 1과 2 및 기저유출 등 3개 요소의 기여도를 시간에 따라 구분해 나타낸 것이다. Fig. 3b은 강우 1과 3, 토양수 및 과거유출 등 4개 요소의 기여도를 시간에 따라 구분해 나타낸 것이다.
강우 1은 흰색, 강우 2는 검정색, 토양수는 옅은 회색, 기저유출(과거유출)은 진한 회색으로 표현하였다. 굵은 검은색은 유출량(discharge)을 표현한 것으로 한강홍수통제소에서 제공한 값이다. 강우 1과 2로 인한 하천 유출량은 각각 149.5 CMS (Cubic Meter per Second)와 14.29 CMS이다. 강우 1의 강수량이 매우 커서 강우 2가 제대로 표현되지 않으므로 Fig. 3에서 유출량은 20 CMS에서 잘라서 표현했다. 강우 1로 인해 발생한 유출량이 강우 2의 것보다 10배 이상 크다. 빨간 막대그래프는 1시간 간격의 강우강도를 나타낸다.
EMMA 의하면, 3과 4성분계 모두에서 강우 1의 성분이 강우 2가 끝났는데도 유출량에 계속 기여하고 있다. 특히, 강우 1의 유출량 기여도가 강우 2의 것보다 훨씬 크다. 강우 1의 강우량은 82.1 mm이고, 강우 2는 18.1 mm로, 첫 번째 강우가 두 번째 강우보다 4.5배 더 많다. 그리고 강우 1과 2의 시간적 간격은 2일 정도로 짧기에 강우 1의 성분이 강우 2의 종료 이후에서도 수문곡선에 계속 기여하는 것으로 생각한다. 3과 4성분계 모두에서, 하천 유출량이 최대일 때 기저유출이 가장 컸다. 시간별로 3성분계는 최대 유출량 이후 1일이 지나고, 10월 24일경에 크게 변했다. 4성분계는 동일한 시각에 기여도의 변동 폭이 작았다. 연구자들은 기저유출을 지하에 저류된 물이 피스톤 흐름(piston flow)으로 인해 하천에 공급되는 매우 느린 흐름으로 설명한다(Barnes, 1939; Sklash and Farvolden, 1976; Ogunkoya and Jenkins, 1993; Hinton et al., 1994; Kendall et al., 1995; Kendal and McDonnell, 2000; Sophocleous, 2002). 이 가설에 의하면 수문곡선에서 분리된 기저유출의 변동 폭은 작아야만 한다. 시간에 따른 Fig. 3a와 Fig. 3b의 기저유출 변화는 3성분계로 표현된 Fig. 3a가 크다. 본 연구에서는 느린 흐름을 갖는 기저유출 성분의 특성을 표현하는데 토양수 성분이 포함된 4성분계가 더 자연스럽다.
2.2.4. 성분들의 기여도 평가
Fig. 3에서 수문곡선의 각 성분에 대하여 적분하여 그 기여량을 산정하면, 다음 Table 4와 같다. 표에 나타낸 단위는 유역면적을 기준으로 mm이다. 2024년 10월 16일부터 25일까지 하천 유출량에 대해 강우 2 발생부터 해석하면, 18.1 mm (강우 2의 강우량, 100%)에 대하여 14.3 mm (79%) 하천유출이 발생했고, 나머지 21%는 증발한 것으로 추정된다. 하천 유출량은 CMS보다 유출량을 유역면적으로 나눈 유출고(단위: mm)로 표현했다.
3성분계 EMMA를 수행한 결과, 기저유출, 강우 1과 2는 총 하천유출 14.3mm 중 각각 9.1 mm (18.1 mm의 0.51), 2.5 mm (18.1 mm의 0.14) 및 2.8 mm (18.1 mm의 0.15)이다. 4성분계 EMMA를 수행한 결과, 과거유출(old water), 토양수(soil water), 강우 1과 2가 하천유출 14.3 mm 중 각각 2.6 mm (18.1 mm의 0.14), 9.9 mm (18.1 mm의 0.55), 0.7 mm (18.1 mm의 0.04) 및 1.0 mm (18.1 mm의 0.06) 등이다.
3성분계에서 하천유출에 대한 기여도는 기저유출 > 강우 2 > 강우 1 순이다. 4성분계에서는 토양수 > 기저유출 > 강우 2 > 강우 1의 순이다. 3성분계에서 기저유출 성분을 과거유출과 토양수로 나눠 4성분계로 나타내면, 3성분계의 기저유출 대부분과 강우의 일부분이 토양수 성분으로 표현되어, 4성분계에서는 토양수의 기여도가 가장 커진다. 수문곡선분리에서 토양수를 제외한 강우와 기저유출의 2성분계 표현은 느린 흐름으로 간주하는 기저유출 변화 특성을 제대로 반영할 수 없을뿐더러 기여도 평가도 왜곡할 수 있다.
EMMA에 의한 Fig. 3의 표현은 시간에 따른 수문곡선을 이루는 각각의 성분들의 기여도 변화를 비율로 나타낸 것이다. 그 결과, 강우의 직접적인 하천 유입(direct input)보다는 지표(surface) 또는 지표하(subsurface) 유출의 기여가 하천에 더 큰 것으로 나타났다(Table 4). 그리고 기저유출 비율의 변화는 토양수 포함 여부에 따라 크게 좌우되었다. 이러한 기저유출의 비율을 평가하는 방법은 물과 함께 움직일 수 있는 오염원의 추적에도 유용할 것으로 생각된다.
|
Fig. 1 Geology, distribution of rainfall stations and Thiessen nets in the study catchment. |
|
Fig. 2 3- and 4-component EMMA. |
|
Fig. 3 EMMA of hydrograph separation. White and black circles represent event 1 & 2, respectively. Light and dark gray circles denote soil water and old water (baseflow). Red bars indicate hourly rainfall intensity. |
|
Table 1 Rainfall observation station location and Thiessen coefficient calculation |
|
Table 2 Average rainfall, stable isotope composition of rainfall water, and Si concentration in the Yangwhacheon catchment calculated using the Thiessen coefficient |
※ Note : ND is Not Detected |
|
Table 3 End-Member decision results for hydrograph separation |
※Note : *The maximum value of Si in stream runoff water quality during monitoring is 8.35 mg/L, but this is a value derived during the process of examining the mass balance equation. |
|
Table 4 Results of component-specific contribution rates in the Yangwhacheon catchment during rainfall using EMMA |
본 연구에서는 2일 간격으로 발생한 두 차례의 강우 이벤트를 대상으로 EMMA(End-Member Mixing Analysis) 기법을 적용하여 하천 수문곡선의 구성 성분을 정량적으로 분석하였다. 환경 추적자로 물 분자의 안정동위원소(δ18O)와 수소(δD)와 지표-토양 반응의 지표인 규소(Si) 농도를 활용하였으며, 이를 통해 기저유출, 강우, 토양수의 기여율을 평가하였다. 주요 연구 결과는 다음과 같다.
성분 모델의 비교 (3성분계 vs 4성분계): 하천 유출을 강우(강우 1, 강우 2)와 기저유출로 구분한 3성분계보다 토양수 성분을 추가한 4성분계 모델에서 기저유출의 변화가 더 합리적으로 해석되었다. 이는 기저유출이 물리적으로 느린 흐름(slow flow) 특성을 가짐을 고려할 때, 토양수 성분을 포함함으로써 수문곡선상의 급격한 변동을 보다 자연스럽게 설명할 수 있었기 때문이다.
구성 성분별 기여도: 4성분계 분석 결과, 하천유출에 가장 지배적인 기여를 한 성분은 토양수인 것으로 나타났다. 3성분계에서는 기저유출의 기여도가 가장 높게 나타났으나(50% 이상), 실제로는 빠른 흐름(fast flow)을 갖는 토양수의 영향이 기저유출보다 더 컸음을 확인하였다.
선행 강우의 영향: 후행 강우보다 약 4.5배 큰 규모였던 선행 강우(강우 1) 성분은 후행 강우 기간은 물론 비가 그친 후에도 하천 유출량에 지속적으로 기여하였다.
유출 메커니즘: 하천 유출은 강우의 직접 유입(direct flow)보다는 유역 내 장기 저류된 기저유출(old water / baseflow)과 토양층을 거쳐 반응한 지표하수(soil water /interflow)의 기여가 더 우세하였다. 결론적으로, 본 연구는 복합적인 강우 이벤트 상황에서 토양수 성분을 포함한 다성분계 EMMA 모델이 수문곡선의 유출 기원을 보다 정밀하게 추적할 수 있음을 보여준다. 다만, 시행착오법으로 추정한 토양수 내 규소 농도 극단값에 대해서는 향후 충분한 실측을 통한 검증이 보완되어야 할 것이다.
본 연구는 한강수계관리위원회의 안정동위원소 기반 질소 오염원 추적 및 하천 관리방안 연구 (과제번호: HGWMC-245030030501)의 지원을 받아 수행되었습니다. 또한, 연구 수행 과정에서 자료 확보에 도움을 주신 홍수통제소 관계자분들께 깊은 감사를 드립니다.
This Article2025; 30(6): 131-138
Published on Dec 31, 2025
Services
Correspondence toNational Instrumentation Center for Environmental Management (NICEM), Seoul National University, Seoul 08826, Korea